์ด๊ฐ์
(Gayoung Lee)
1iD
์ ์ฃผ์
(Ju-young Shin)
2โ iD
์ฅ์๋ฒ
(Sangbeom Jang)
3iD
๋ฐ์ง์ฐ
(Jiyeon Park)
4iD
-
์ ํ์ ยท ๊ตญ๋ฏผ๋ํ๊ต ๊ฑด์ค์์คํ
๊ณตํ๊ณผ ์๊ณตํ์ ๊ณต ์์ฌ๊ณผ์
(Kookmin University ยท dlrkdud1013@kookmin.ac.kr)
-
์ข
์ ํ์ ยท ๊ต์ ์ ์ ยท ๊ตญ๋ฏผ๋ํ๊ต ๊ฑด์ค์์คํ
๊ณตํ๊ณผ ๊ต์
(Corresponding Author ยท Kookmin University ยท jshin@kookmin.ac.kr)
-
์ ํ์ ยท ๊ตญ๋ฏผ๋ํ๊ต ๊ฑด์ค์์คํ
๊ณตํ๊ณผ ์๊ณตํ์ ๊ณต ์๋ฐ์ฌ๊ณผ์
(Kookmin University ยท naziyo3341@kookmin.ac.kr)
-
๊ตญ๋ฏผ๋ํ๊ต ๊ฑด์ค์์คํ
๊ณตํ๊ณผ ์๊ณตํ์ ๊ณต ๋ฐ์ฌ๊ณผ์
(Kookmin University ยท jiyeonj@kookmin.ac.kr)
Copyright 2026 by the Korean Society of Civil Engineers
Keywords
Extreme rainfall, Goodness-of-fit measures, Rainfall quantiles, Probability distribution, Climate change
ํต์ฌ์ฉ์ด
์ ํฉ์ฑ ์ฒ๋, ๊ทน์น๊ฐ์ฐ๋ถ์, ํ๋ฅ ๊ฐ์ฐ๋, ํ๋ฅ ๋ถํฌํ, ๊ธฐํ๋ณํ
1. ์ ๋ก
์ค๊ณํ์๋์ ๋, ์ ๋ฐฉ ๋ฑ ์๊ณต๊ตฌ์กฐ๋ฌผ์ ๊ท๋ชจ ๊ฒฐ์ ๊ณผ ์น์ ์์ ์ฑ ํ๋ณด๋ฅผ ์ํ ๊ฐ์ฅ ๊ธฐ๋ณธ์ ์ด๋ฉด์๋ ํต์ฌ์ ์ธ ์๋ฌธ ์ค๊ณ ๊ธฐ์ค์ด๋ค. ์ค๊ณํ์๋์ ๊ณผ์ ์ฐ์ ์
๊ตฌ์กฐ๋ฌผ ๋ถ๊ดด ๋ฐ ๋๊ท๋ชจ ํ์ ํผํด๋ก ์ง๊ฒฐ๋ ์ ์์ผ๋ฉฐ ๋ฐ๋๋ก ๊ณผ๋ ์ฐ์ ์ ๋ถํ์ํ ๊ฒฝ์ ์ ๋น์ฉ์ ์ด๋ํ ์ ์๋ค. ๋ฐ๋ผ์ ์ ๋ขฐ์ฑ ์๋ ์ค๊ณํ์๋ ์ฐ์ ์
์์์ ๊ด๋ฆฌ ๋ฐ ๋ฐฉ์ฌ ๊ณํ ์๋ฆฝ์ ์์ด ํ์์ ์ธ ๊ณผ์ ์ด๋ค. ๋ํ๋ฏผ๊ตญ์ ์๋ฌธ ๊ด์ธก๋ง์ ๊ณต๊ฐ์ ๋ฐ๋๊ฐ ์ถฉ๋ถํ์ง ์๊ณ ์ฅ๊ธฐ๊ฐ ์ถ์ ๋ ์ค์ธก ํ์๋ ์๋ฃ ํ๋ณด์
ํ๊ณ๊ฐ ์๋ค. ์ด์ ๋ฐ๋ผ ๊ตญ๋ด์์๋ ๊ด์ธก๋ ๊ฐ์ฐ ์๋ฃ๋ฅผ ๊ธฐ๋ฐ์ผ๋ก ํ๋ฅ ๊ฐ์ฐ๋์ ์ฐ์ ํ ํ ๊ฐ์ฐ-์ ์ถ ๋ชจํ์ ์ ์ฉํ์ฌ ์ค๊ณํ์๋์ ์ถ์ ํ๋ ๋ฐฉ๋ฒ์ด ํ์ค์ ์ผ๋ก
ํ์ฉ๋๊ณ ์๋ค(Kim et al., 2018). ์ด ๊ณผ์ ์์ ๋จ๊ธฐ๊ฐ ๊ด์ธก ์๋ฃ๋ก ์ธํ ํต๊ณ์ ๋ถํ์ค์ฑ์ ์ํํ๊ธฐ ์ํ ๋์์ผ๋ก, ์๋ฌธํ์ ์ผ๋ก ๋์งํ ์ง์ญ์ ๊ตฌ์ฑํ์ฌ ๋ถ์ํ๋ ์ง์ญ๋น๋ํด์์ด ๋๋ฆฌ
์ ์ฉ๋๊ณ ์๋ค.
์ง์ญ๋น๋ํด์์ ๋์ง์ง์ญ ๋ด ๊ด์ธก ์ง์ ๋ค์ด ํ๋ฅ ๋ถํฌํ์ ๋ฐ๋ฅธ๋ค๋ ๊ฐ์ ํ์ ๋น๋๋ถ์์ ์ํํ๋ ๋ฐฉ๋ฒ์ผ๋ก, Hosking and Wallis(2005)๊ฐ ์ ์ํ ์ง์ํ์๋ฒ๊ณผ L-moment ๊ธฐ๋ฐ ๋งค๊ฐ๋ณ์ ์ถ์ ๊ธฐ๋ฒ(Hosking, 1990)์ด ํ์ค์ ์ผ๋ก ํ์ฉ๋๊ณ ์๋ค. ๊ตญ๋ด์์๋ Heo et al.(2007a, 2007b)์ ๋น๋กฏํ ๋ค์์ ์ฐ๊ตฌ์์ ์ง์ญ๋น๋ํด์์ ์ ์ฉํ์ฌ ํ๋ฅ ๊ฐ์ฐ๋์ ์ฐ์ ํด ์์ผ๋ฉฐ, ํ์ฌ๋ ํ์๋ ์ฐ์ ํ์ค์ง์นจ(ME, 2019)์ ๋ฐ๋ผ generalized logistic (GLO), generalized extreme value (GEV), generalized normal
(GNO), pearson type III (PE3), ๊ทธ๋ฆฌ๊ณ generalized pareto (GPA) ๋ฑ 3๊ฐ์ ๋งค๊ฐ๋ณ์๋ฅผ ๊ฐ๋ 5๊ฐ์ ํ๋ฅ ๋ถํฌํ์
ํ๋ณด๋ก ์ค์ ํ๊ณ ์ ํฉ๋ ๊ฒ์ ์ ํตํด ์ต์ ๋ถํฌํ์ ์ ์ ํ๋ ์ ์ฐจ๊ฐ ์ฌ์ฉ๋๊ณ ์๋ค. ์ด ์ค GEV ๋ถํฌ๋ ๊ทน์น๊ฐ ์ด๋ก ์ ๊ธฐ๋ฐํ ๋ถํฌํ์ผ๋ก, ๊ตญ๋ด ์ค๋ฌด์์
ํ์ฉ๋๊ณ ์๋ค(ME, 2019; Kim et al., 2011; Lima et al., 2016; Ahn et al., 2014).
๊ทธ๋ฌ๋ ์ต๊ทผ ๊ธฐํ๋ณํ๋ก ์ธํด ์ง์คํธ์ฐ์ ๋น๋์ ๊ฐ๋๊ฐ ์ฆ๊ฐํ๋ฉด์ ๊ทน์น ๊ฐ์ฐ ์ฌ์์ ํต๊ณ์ ํน์ฑ์ด ๋ณํํ๊ณ ์์ผ๋ฉฐ, ํนํ ํ๋ฅ ๋ถํฌ์ ์ค๋ฅธ์ชฝ ๊ผฌ๋ฆฌ(right
tail) ์์ญ์์ ๊ธฐ์กด๊ณผ ๋ค๋ฅธ ๊ฑฐ๋์ด ๊ด์ธก๋๊ณ ์๋ค. ์ด๋ฌํ ๋ณํ๋ ๋์ ์ฌํ๊ธฐ๊ฐ์์ ํ๋ฅ ๊ฐ์ฐ๋ ์ฐ์ ๊ฒฐ๊ณผ์ ๋ณ๋์ฑ์ ์ฆ๊ฐ์์ผ ๊ธฐ์กด ์ค๊ณ ๊ธฐ์ค์
์ ๋ขฐ์ฑ์ ๋ํ ์ฌ๊ฒํ ํ์์ฑ์ ์ ๊ธฐํ๊ฒ ๋๋ค. ๊ทธ๋ผ์๋ ๋ถ๊ตฌํ๊ณ ํํ ์ง์นจ์์ ๊ณ ๋ คํ๋ 5๊ฐ ํ๋ฅ ๋ถํฌํ์ ๋ชจ๋ 3๊ฐ์ ๋งค๊ฐ๋ณ์๋ฅผ ๊ฐ๋ ํ๋ฅ ๋ถํฌํ์ผ๋ก,
๋จ์ผ ํ์ ๋งค๊ฐ๋ณ์ ๊ตฌ์กฐ๋ก ์ธํด ๋น๋์นญ์ฑ ๋ฐ ๋๊บผ์ด ์ค๋ฅธ์ชฝ ๊ผฌ๋ฆฌ(heavy tail)์ ํน์ฑ์ ๋ฐ์ํ๋ ๋ฐ ๊ตฌ์กฐ์ ์ธ ํ๊ณ๋ฅผ ๊ฐ๊ณ ์๋ค(Lee, 2008).
๋ณธ ์ฐ๊ตฌ์์๋ ๊ฐ์ฐ์๋ฃ๋ฅผ 2024๋
๊น์ง ํ์ฅํ์ฌ ๊ธฐ์กด ์ง์นจ์ ๋ฐ๋ฅธ 26๊ฐ ๋์ง์ง์ญ ์ฒด๊ณ์ ๋ํด ๋ถํฌํ ์ ํฉ๋๋ฅผ ์ฌ๊ฒํ ํ ๊ฒฐ๊ณผ, ์ผ๋ถ ๋์ง์ง์ญ์์ ํํ
์ง์นจ์์ ์ ์ํ๋ 5๊ฐ์ ํ๋ณด ํ๋ฅ ๋ถํฌํ(3๊ฐ ๋งค๊ฐ๋ณ์๋ฅผ ๊ฐ๋ ํ๋ฅ ๋ถํฌํ)์ด ์ ํฉ๋ ๊ธฐ์ค์ ๋ง์กฑํ์ง ๋ชปํ๋ ์ฌ๋ก๊ฐ ํ์ธ๋์๋ค. ์ด๋ ์ต๊ทผ์ ๊ทน์น ๊ฐ์ฐ
ํน์ฑ์ ๊ธฐ์กด 3๊ฐ์ ๋งค๊ฐ๋ณ์๋ฅผ ๊ฐ๋ ํ๋ฅ ๋ถํฌํ์ผ๋ก ํต๊ณ์ ์ผ๋ก ๋ชจ์ํ๋ ๋ฐ ํ๊ณ๊ฐ ์์์ ์๋ฏธํ๊ณ (Lee, 2008), ๋ถํฌํ ์ ํ์ ๋ถ์ ์ ์ฑ์ด ๋์ ์ฌํ๊ธฐ๊ฐ ํ๋ฅ ๊ฐ์ฐ๋ ์ถ์ ๋ถํ์ค์ฑ์ ์ฆ๋ํ์ฌ ํ์ฒ ์์ค๋ฌผ์ ์น์ ์์ ์ฑ ์ถ์ ์ ๋ถํ์ค์ฑ์ ๋์ผ ๊ฐ๋ฅ์ฑ์ด ์๋ค.
์ด๋ฌํ ํ๊ณ๋ฅผ ๊ทน๋ณตํ๊ธฐ ์ํ ๋์์ผ๋ก, ๋ณธ ์ฐ๊ตฌ๋ Mielke(1973)๊ฐ ์ ์ํ๊ณ Hosking(1994)์ ์ํด ํ์ฅ๋ 4-๋งค๊ฐ๋ณ์ kappa ๋ถํฌ๋ฅผ ๊ตญ๋ด ๊ฐ์ฐ ์ง์ญ๋น๋ํด์์ ๋์
ํ๊ณ ๊ทธ ์ ์ฉ์ฑ์ ํ๊ฐํ๊ณ ์ ํ๋ค. kappa ๋ถํฌ๋ ์์น(location)
๋ฐ ๊ท๋ชจ(scale) ๋งค๊ฐ๋ณ์ ์ธ์ ๋ ๊ฐ์ ํ์(shape) ๋งค๊ฐ๋ณ์๋ฅผ ํฌํจํ๋ ํ๋ฅ ๋ถํฌํ์ผ๋ก, GEV, GLO, GPA ๋ถํฌ๋ฅผ ํ ๋ฒ์ ํํํ
์ ์๋ ํน์ง์ ๊ฐ๊ณ ์๋ค(Maeng et al., 2009). ์ด๋ฌํ ๊ตฌ์กฐ์ ์ ์ฐ์ฑ์ ๊ทน์น ๊ฐ์ฐ ์๋ฃ์ ๋น๋์นญ์ฑ๊ณผ ์ค๋ฅธ์ชฝ ๊ผฌ๋ฆฌ ์์ญ์ ๋ณ๋์ฑ์ ๋ณด๋ค ํจ๊ณผ์ ์ผ๋ก ๋ฐ์ํ ์ ์๋ ์ ์ฌ๋ ฅ์ ๊ฐ์ง๋ค(Kjeldsen et al., 2017).
๋ณธ ์ฐ๊ตฌ์์๋ kappa ๋ถํฌ๊ฐ ๊ธฐ์กด 3๊ฐ์ ๋งค๊ฐ๋ณ์๋ฅผ ๊ฐ๋ ํ๋ฅ ๋ถํฌํ์ ๋นํด ๊ทน์น ๊ฐ์ฐ์ ์ค๋ฅธ์ชฝ ๊ผฌ๋ฆฌ ๊ฑฐ๋์ ๋ณด๋ค ์ ์ฐํ๊ฒ ๋ชจ์ํ ์ ์์ผ๋ฉฐ, ๊ทธ
๊ฒฐ๊ณผ ์ง์ญ๋น๋ํด์์ ์ ํฉ๋์ ๋์ ์ฌํ๊ธฐ๊ฐ ํ๋ฅ ๊ฐ์ฐ๋ ์ถ์ ์ฑ๋ฅ์ ๊ฐ์ ํ ์ ์๋ค๋ ๊ฐ์ค์ ์ค์ ํ์๋ค. ์ด ๊ฐ์ค์ ๊ฒ์ฆํ๊ธฐ ์ํด ๋ค์๊ณผ ๊ฐ์ ์ฐ๊ตฌ
์ง๋ฌธ์ ์ค์ ํ์๋ค. ์ฒซ์งธ, kappa ๋ถํฌ๋ ๊ธฐ์กด ๋ถํฌํ์ ๋ํด ๋ถ์ ํฉ ํ์ ์ ๋ฐ์ ๋์ง์ง์ญ์์ ์ ํฉ๋ ๊ฒ์ ๊ฒฐ๊ณผ๋ฅผ ๊ฐ์ ํ ์ ์๋๊ฐ, ๋์งธ, ๋ถํฌํ์
๊ผฌ๋ฆฌ ๊ตฌ์กฐ ์ฐจ์ด๋ ๋์ ์ฌํ๊ธฐ๊ฐ ํ๋ฅ ๊ฐ์ฐ๋ ์ฐ์ ๊ฒฐ๊ณผ์ ์ด๋ ํ ์ ๋์ ์ฐจ์ด๋ฅผ ์ ๋ฐํ๋๊ฐ์ด๋ค.
์ด๋ฅผ ์ํด ๋ณธ ์ฐ๊ตฌ์์๋ ํํ ์ง์นจ์ ๋ฐ๋ผ 26๊ฐ ๋์ง์ง์ญ์ ๋์์ผ๋ก ๊ธฐ์กด 3๊ฐ์ ๋งค๊ฐ๋ณ์๋ฅผ ๊ฐ๋ ๋ถํฌํ๊ณผ kappa ๋ถํฌ๋ฅผ ์ ์ฉํ ์ง์ญ๋น๋ํด์์
์ํํ์๋ค. L-moment๋ฒ์ ์ด์ฉํ์ฌ ์ด๋ก L-moment ratio์ ์ง์ญ ํ๊ท L-moment ratio๋ฅผ ๊ธฐ๋ฐ์ผ๋ก ๋งค๊ฐ๋ณ์๋ฅผ ์ถ์ ํ๊ณ , ์ ํฉ๋
๊ฒ์ ๋ฐ ์ฌํ๊ธฐ๊ฐ๋ณ ํ๋ฅ ๊ฐ์ฐ๋ ๋น๊ต๋ฅผ ํตํด ๊ฐ์ค์ ๊ฒ์ฆํ์๋ค. ๋ณธ ์ฐ๊ตฌ ๊ฒฐ๊ณผ๋ ๊ธฐํ๋ณํ ์กฐ๊ฑดํ์ ๊ทนํ ๊ฐ์ฐ์ ํต๊ณ์ ํน์ฑ ๋ณํ์์ ํ๋ฅ ๋ถํฌํ ์ ํ์
๋ฐ๋ฅธ ๋ถํ์ค์ฑ์ ์ ๊ฐํ๊ณ , ๋ณด๋ค ์ ๋ขฐ์ฑ ์๋ ํ๋ฅ ๊ฐ์ฐ๋ ์ฐ์ ๋ฐฉ์์ ์ ์ํ๋ ๋ฐ ๊ธฐ์ฌํ ๊ฒ์ผ๋ก ๊ธฐ๋๋๋ค.
2. ์ฐ๊ตฌ๋ฐฉ๋ฒ
2.1 kappa ๋ถํฌํ
๋ณธ ์ฐ๊ตฌ์์๋ ๊ฐ์ฐ ์ง์ญ๋น๋ํด์์์ ์ง์ญ ๊ณตํต ์ฑ์ฅ๊ณก์ ์ ์ ์ํ๊ธฐ ์ํด kappa ๋ถํฌ๋ฅผ ์ ์ฉํ์๋ค. kappa ๋ถํฌ๋ Mielke(1973)์ ์ํด 3๊ฐ ๋งค๊ฐ๋ณ์ ํ๋ฅ ๋ถํฌํ์ผ๋ก ์ ์๋์์ผ๋ฉฐ, ์ดํ Hosking(1994)์ด ์ด๋ฅผ L-moment ๊ธฐ๋ฐ์ 4๊ฐ ๋งค๊ฐ๋ณ์ ํ๋ฅ ๋ถํฌํ์ผ๋ก ํ์ฅํ์๋ค. Hosking(1994)์ kappa ๋ถํฌ๋ ์์น($x_0$), ๊ท๋ชจ($\alpha$), ๊ทธ๋ฆฌ๊ณ ๋ ๊ฐ์ ํ์($\beta$, $h$) ๋งค๊ฐ๋ณ์๋ฅผ ํฌํจํ๋ ํ๋ฅ ๋ถํฌํ์ด๋ค.
์ง์ญ ๋งค๊ฐ๋ณ์๊ฐ ๊ฒฐ์ ๋๋ฉด, kappa ๋ถํฌ๋ ๋์ ๋ถํฌํจ์(Cumulative Distribution Function, CDF)์ ํ๋ฅ ๋ฐ๋ํจ์(Probability
Density Function, PDF)๋ฅผ Eq. (1)์ Eq. (2)์ผ๋ก ๋ํ๋ธ๋ค.
ํ์ ๋งค๊ฐ๋ณ์ ์ค $h$๋ ๋ถํฌ์ ๊ผฌ๋ฆฌ ๋ถ๋ถ(tail) ํน์ฑ์ ๊ฒฐ์ ์ง๋ ์ค์ํ ์ญํ ์ ํ๋ฉฐ, ๊ฐ์ ๋ฐ๋ผ GLO ($h = -1$), GEV ($h
= 0$), GPA ($h = +1$)์ ๋ค์ํ ๋ถํฌํ์ผ๋ก ํ์๋ ์ ์๋ค. ๋ฐ๋ผ์ ๋ณต์กํ ๊ฐ์ฐ ์ฌ์์ ๊ทน์น ๊ฑฐ๋์ ๋ชจ์ํ๋ ๋ฐ ์์ด ๊ธฐ์กด 3๊ฐ์
๋งค๊ฐ๋ณ์๋ฅผ ๊ฐ๋ ํ๋ฅ ๋ถํฌํ๋ณด๋ค ๋์ ์ ์ฐ์ฑ์ ๊ฐ๋๋ค. ๋ค๋ง, kappa ๋ถํฌํ์ ๋งค๊ฐ๋ณ์ ์ฆ๊ฐ์ ๋ฐ๋ฅธ ํต๊ณ์ ๊ณผ์ ํฉ์ ์ํ์ด ์กด์ฌํ ์ ์์ผ๋, ๋ณธ
์ฐ๊ตฌ์์๋ ๊ฐ๋ณ ์ง์ ์ ๋ณ๋์ฑ์ ์ง์ํ๊ณ ์ง์ญ์ ์ ๋ณด๋ฅผ ๊ณต์ ํ์ฌ ์ถ์ ์ ์์ ์ฑ์ ๋์ด๋ ์ง์ญ๋น๋ํด์๊ณผ ์ด์์น์ ๊ฐ๊ฑดํ L-moment๋ฒ์ ๋ณํ ์ ์ฉํ์ฌ
์ถ์ ์ ์์ ์ฑ์ ํ๋ณดํ๊ณ ํต๊ณ์ ์๊ณก์ ์ต์ํํ๋ค.
2.1.1 ์ง์ํ์๋ฒ์์ kappa ๋ถํฌ์ ๋งค๊ฐ๋ณ์ ์ถ์
๋งค๊ฐ๋ณ์ ์ถ์ ์ ๋จ์ผ ์ง์ ์ ๋ถ์์ด ์๋๋ผ, ์ง์ญ ๋ด ์ ๋ณด๋ฅผ ํตํฉํ๋ ์ง์ญ๋น๋ํด์ ์ฒด๊ณ์ ๋ฐ๋ผ ์ํ๋๋ค. ๋ณธ ์ฐ๊ตฌ์์๋ Hosking and Wallis(2005)์ ์ง์ํ์๋ฒ์ ์ ์ฉํ์๋ค. ๋จผ์ ๊ฐ ๊ด์ธก์ง์ ์ ์ฐ์ต๋ ๊ฐ์ฐ์๋ฃ๋ฅผ ํด๋น ์ง์ ์ ์ง์ํ์๋์ธ L-means์ $\lambda_1$์ผ๋ก ๋๋์ด ๋ฌด์ฐจ์ํ๋
์ง์ ์๋ฃ๋ฅผ ์์ฑํ๋ค. ์ดํ ์ง์ ๋ณ ๊ธฐ๋ก๋
์๋ฅผ ๊ฐ์ค์น๋ก ํ์ฉํ์ฌ ๋ค์ Eq. (3)๊ณผ ๊ฐ์ด r์ฐจ ์ง์ญ ํ๊ท L-moment์ธ $\lambda_r^R$์ ์ฐ์ ํ๊ณ , ์ด์ด์ Eq. (4)์ ๊ฐ์ด ์ง์ญ ํ๊ท L-moment ratio์ $t_3^R$, $t_4^R$๋ฅผ ์ฐ์ ํ๋ค.
kappa ๋ถํฌ์ ์ด๋ก ์ L-moment ratio๋ L-moment๋ฅผ ๊ธฐ๋ฐ์ผ๋ก Eq. (5)๊ณผ ๊ฐ์ด ์ ์๋๋ค(๋จ, $h \ge 0$ ๋ฐ $\beta > -1$ ๋๋ $h < 0$ ๋ฐ $-1 < \beta < -1/h$ ์ ์กด์ฌ ์กฐ๊ฑด ๋ง์กฑ
์).
์ฌ๊ธฐ์, kappa ๋ถํฌ๋ $h \ge -1$ ์กฐ๊ฑด ํ์ $\tau_3$๊ณผ $\tau_4$๋ก ์ด๋ฃจ์ด์ง L-moment ratio diagram ์์์
๊ณ ์ ํ ๊ณก์ ์ด ์๋ ๊ด๋ฒ์ํ ์์ญ(Area)์ ํฌ๊ดํ์ฌ ๋ ๋์ ์ ํฉ ๊ฐ๋ฅ์ฑ์ ์ ๊ณตํ๋ค(Hosking and Wallis, 2005).
์ด๋ฌํ ํน์ฑ์ ๋ฐํ์ผ๋ก, Eqs. (5c)์ (5d)๋ก ์ ์๋ ์ด๋ก ์ L-moment ratio($\tau_3$, $\tau_4$)์ ์์ ์ฐ์ ๋ ์ง์ญ ํ๊ท L-moment ratio($t_3^R$,
$t_4^R$)๊ฐ ์ผ์นํ๋๋ก Newton-Raphson ์์นํด๋ฒ์ ํตํด $\beta$์ $h$๋ฅผ ์ถ์ ํ๋ค. ์ด ์์นํด์ ๊ณผ์ ์ Hosking(1994)์ ์ด๋ก ์ ๋ฐฐ๊ฒฝ์ ๋ฐํ์ผ๋ก Hosking(1996)์ด ๊ตฌํํ FORTRAN ์ต์ ํ ์๊ณ ๋ฆฌ์ฆ์ ๊ธฐ๋ฐํ์ฌ ์ํ๋๋ค. ์ต์ ํด ํ์์ ์ํ ์ด๊ธฐ๊ฐ์ ์์ ์ฐ์ ๋ ์ง์ญ ํ๊ท L-moment ratio($t_3^R$,
$t_4^R$)๋ก GLO ๋ถํฌ์ ๋งค๊ฐ๋ณ์ ๊ทผ์ฌ์น๋ก ์ค์ ๋์๋ค. ํ์ ๊ณผ์ ์ค ๋ถํฌ์ ์ํ์ ํ๋น์ฑ ํ๋ณด๋ฅผ ์ํด ํ์ ๋งค๊ฐ๋ณ์ ์ ์ฝ์กฐ๊ฑด($h > -1$,
$\beta > -1$ ๋ฑ)์ ์ ์ฉํ์์ผ๋ฉฐ, ๋งค๊ฐ๋ณ์ ๊ฐฑ์ ์ค์ฐจ๊ฐ ์๊ณ ๋ฆฌ์ฆ ๋ด ํ์ฉ ์๊ณ์น์ธ $10^{-6}$ ๋ฏธ๋ง์ผ๋ก ์๋ ดํ ๋ ๋ฐ๋ณต ๊ณ์ฐ์ ์ข
๋ฃํ๊ณ
์ต์ ๋งค๊ฐ๋ณ์๋ฅผ ํ์ ํ๋ค. ์ถ์ ๋ ํ์ ๋งค๊ฐ๋ณ์๋ฅผ ๋ฐํ์ผ๋ก ์ง์ญ ์ฑ์ฅ๊ณก์ ์ ๊ท๋ชจ ๋งค๊ฐ๋ณ์ $\alpha$ (Eqs. (6a))์ ์์น ๋งค๊ฐ๋ณ์ $x_0$ (Eqs. (6b))๋ฅผ ์์ฐจ์ ์ผ๋ก ๊ณ์ฐํ๋ค.
2.1.2 kappa ๋ถํฌ๊ธฐ๋ฐ์ ํ๋ฅ ๊ฐ์ฐ๋ ์ฐ์
์ฌํ๊ธฐ๊ฐ๋ณ ํ๋ฅ ๊ฐ์ฐ๋์ ์ฐ์ ํ๊ธฐ ์ํ ๋ฌด์ฐจ์ ์ฑ์ฅ๊ณก์ (growth curve)์ Eq. (7)๊ณผ ๊ฐ์ด ์ ์ํ๋ค. ์ต์ข
์ ์ผ๋ก ์ง์ ๋ณ ํ๋ฅ ๊ฐ์ฐ๋ $Q_i(F)$๋ ํด๋น ์ง์ ์ ์ง์ํ์๋($\mu_i$๋ $i$ ์ง์ ์ $\lambda_1$)๊ณผ ๋ฌด์ฐจ์
์ฑ์ฅ๊ณก์ ($q(F)$)์ ๊ณฑ์ผ๋ก ์ฐ์ ๋๋ฉฐ ๋ค์๊ณผ ๊ฐ๋ค.
2.2 ์ ํฉ๋ ํ๊ฐ(Goodness-of-fit measure)
๋ณธ ์ฐ๊ตฌ์์๋ Hosking and Wallis(2005)๊ฐ ์ ์ํ L-moment ๊ธฐ๋ฐ ์ง์ญ๋น๋ํด์ ๋ฐฉ๋ฒ์ ์ ์ฉํ์๋ค. ๊ตฌ์ถ๋ ๋์ง์ง์ญ ๋ด ์ง์ ๋ค์ ๊ฐ์ฅ ์ ํฉํ ํ๋ฅ ๋ถํฌํ์ ์ ์ ํ๊ธฐ ์ํด, ์ ํฉ๋ ๊ฒ์
ํต๊ณ๋์ธ $Z^{DIST}$๋ฅผ ์ฌ์ฉํ์๋ค. ์ด๋ ์ง์ญ ๋ด ๊ฐ ์ง์ ์ ํ๊ท L-kurtosis์ ๋์ ๋ถํฌํ์ ์ด๋ก ์ L-kurtosis ๊ฐ์ ์ฐจ์ด๋ฅผ
๊ธฐ๋ฐ์ผ๋ก ์ ์๋๋ค. ์ ํฉ์ฑ ์ฒ๋ $Z^{DIST}$๋ Eq. (9)๊ณผ ๊ฐ์ด ์ ์๋๋ฉฐ, ์ด๋ ๊ด์ธก๋ ์ง์ญ ํ๊ท L-kurtosis ($t_4^R$)์ ๋ชจ์ ์คํ์ ํตํด ์ฐ์ ๋ ๋ถํฌํ์ ์ด๋ก ์ L-kurtosis ($\tau_4^{DIST}$)์
ํธ์ฐจ๋ฅผ ์๋ฎฌ๋ ์ด์
์ ํ์คํธ์ฐจ($\sigma_4$)๋ก ํ์คํํ ๊ฐ์ด๋ค. ์ด๋ ํธํฅ ๋ณด์ ์ ์ํด ํ๋ฅ ์ ๋ชจ๋ธ๋ง ๊ธฐ๋ฒ์ธ Monte Carlo simulation์
ํตํ ๋ชจ์ ์ง์ญ์ ํ๊ท L-kurtosis ํธํฅ($B_4$)์ ๊ณ ๋ คํ๋ค. ๋ณธ ์ฐ๊ตฌ์์ kappa ๋ถํฌ๋ฅผ ํ์ฉํ ๋ชจ์ ๋ฐ์์ 1,000ํ๋ก ์งํํ์๋ค.
ํ๋จ ๊ธฐ์ค์ผ๋ก๋ $Z^{DIST}$๊ฐ 0์ ๊ฐ๊น์ธ์๋ก ํด๋น ๋ถํฌํ์ ์ ํฉ๋๊ฐ ๋์์ ์๋ฏธํ๋ค. ์ ์์์ค 10 %๋ฅผ ๊ธฐ์ค์ผ๋ก $|Z^{DIST}| \le
1.64$์ผ ๋ ํด๋น ๋ถํฌํ์ด ์ง์ญ์ ๋ํํ๊ธฐ์ ์ ํฉํ๋ค๊ณ ํ์ ํ๋ค(Hosking and Wallis, 2005). ๋ณธ ์ฐ๊ตฌ์์๋ ๋ชจ๋ L-moment ํต๊ณ๋ ์ฐ์ ๋ฐ ์ ํฉ๋ ๊ฒ์ ์ ์ฐจ๋ฅผ R ํต๊ณ ํ๋ก๊ทธ๋จ์ lmomRFA (version3.8; Hosking, 2024) ๋ฐ lmomco (version2.5.1; Asquith, 2024) ํจํค์ง๋ฅผ ํ์ฉํ์ฌ ์ํํ์๋ค.
3. ์ ์ฉ ์ง์ ๋ฐ ์๋ฃ
๋ณธ ์ฐ๊ตฌ์์๋ ๊ธฐ์กด ์ง์นจ(ME, 2019)์ ๋ฐ๋ผ ๊ตญ๊ฐ์์์๊ด๋ฆฌ์ข
ํฉ์ ๋ณด์์คํ
(Water Resources Management Information System, WAMIS)์์ ์ ๊ณตํ๋ 615๊ฐ
๊ฐ์ฐ๊ด์ธก์์ ์ ๋จ์ ๊ฐ์ฐ ๊ด์ธก์๋ฃ๋ฅผ ๋ถ์์ ํ์ฉํ์๋ค. ํํ ์ง์นจ์ ๋น๋ํด์์ ๊ด์ธก ์์ ์ฐ๋๋ถํฐ 2017๋
๊น์ง์ ์๋ฃ๋ฅผ ๊ธฐ๋ฐ์ผ๋ก ์ํ๋์์ผ๋,
๋ณธ ์ฐ๊ตฌ์์๋ 2018๋
๋ถํฐ 2024๋
๊น์ง ์ด 7๋
์ ์๋ฃ๋ฅผ ์ถ๊ฐ๋ก ์์งํ์ฌ ํ์ฉํ์๋ค. ๊ฐ ์ง์ ์ ๋ํด ์ง์๊ธฐ๊ฐ๋ณ๋ก ์ฐ์ต๋ ๊ฐ์ฐ ๊ณ์ด(series)์
๊ตฌ์ฑํ์๊ณ ์๋ฃ ๊ฒ์ฆ ๋ฐ ์ด์์น ์ ๊ฑฐ ๊ณผ์ ์ ๊ฑฐ์ณ ์๋ฃ์ ์ ๋ขฐ์ฑ์ ํ๋ณดํ์๋ค. ๊ณ ์ ์๊ฐ ์ฐ์ต๋์น ์๋ฃ๋ฅผ ์ถ์ถํ ํ, ํ๋ฅ ๊ฐ์ฐ๋๋ ๊ฐ์ ๋ฐ ๋ณด์์ฐ๊ตฌ(Ministry of Land, Transport and Maritime Affairs (MLTM), 2011)์์ ์ ์ํ ์์์๊ฐํ์ฐ๊ณ์๋ฅผ ์ ์ฉํ์ฌ ์์์๊ฐ ์ฐ์ต๋์น ๊ณ์ด๋ก ์ฐ์ ํ์๋ค. Fig. 1๊ณผ ๊ฐ์ด ์ง์ญ ๊ตฌ๋ถ์ ๊ฐ์ ๋ ํ์๋ ์ฐ์ ํ์ค์ง์นจ(ME, 2019)์ ๋ฐ๋ผ 26๊ฐ ๋์ง์ง์ญ ์ฒด๊ณ๋ฅผ ์ ์ฉํ์๋ค. ๊ทธ๋ฌ๋ ์ต๊ทผ ๊ธฐํ๋ณํ๋ก ์ธํ ๊ฐ์ฐ ํจํด์ ๋ณ๋์ฑ ์ฌํ๋ก ์ธํด, ๊ธฐ์กด ์ง์ญ๋น๋ํด์์์ ์ฌ์ฉ๋๋ 5๊ฐ ํ๋ฅ ๋ถํฌํ(GLO,
GEV, GNO, PE3, GPA)์ ๋ํด ์ ํฉ์ฑ ๊ธฐ์ค($|Z^{DIST}| \le 1.64$)์ ๋ง์กฑํ์ง ๋ชปํ๋ ์ง์ญ์ด ๋ฐ์ํ์๋ค. ์ด์ ๋ณธ ์ฐ๊ตฌ๋
26๊ฐ ๋์ง์ง์ญ ์ค ๊ธฐ์กด 5๊ฐ ๋ถํฌํ์ ๋ชจ๋ ๋ถ์ ํฉํ ์ง์ญ์ธ 12๋ฒ ๋ฐ 15๋ฒ ์ง์ญ์ ์ต์ข
๋ถ์ ๋์์ผ๋ก ์ ์ ํ์๋ค.
Fig. 1. Location of Study Areas (Region #12 and #15) among 26 Homogeneous Regions
4. ์ ์ฉ ๊ฒฐ๊ณผ
4.1 ์ ํฉ๋ ํ๊ฐ
๋ณธ ์ฐ๊ตฌ๋ ๋์ ์ง์ญ์ ๋ํด ๊ธฐ์กด 5๊ฐ ํ๋ฅ ๋ถํฌํ๊ณผ kappa ๋ถํฌ ๊ฐ์ ์ ํฉ๋๋ฅผ ๋น๊ตํ๊ธฐ ์ํด $Z^{DIST}$ ํต๊ณ๋์ ํ์ฉํ์ฌ ๋ถ์ํ์๋ค(Fig. 2). Fig. 2(a), (b)์์ ๋
น์ ์์์ ์ ํฉ์ฑ ํ๋จ ๊ธฐ์ค์ธ ยฑ1.64 ๋ฒ์๋ฅผ ์๋ฏธํ๋ฉฐ, ์ด ๋ฒ์ ๋ด์ ์์นํ๋ ๊ฒฝ์ฐ ํต๊ณ์ ์ผ๋ก ์ ํฉํ ๋ถํฌํ์ผ๋ก ๊ฐ์ฃผ๋๋ค. ๋ ์ง์ญ
๋ชจ๋ GEV, GLO, GNO, GPA, PE3 ๋ถํฌ์์ $Z^{DIST}$์ ์ค์๊ฐ์ ๊ธฐ์ค ๋ฒ์๋ฅผ ๋ฒ์ด๋ฌ์ผ๋ฉฐ ํต๊ณ์ ์ผ๋ก ๋ถ์ ํฉํ ๊ฒ์ผ๋ก ๋ํ๋ฌ๋ค.
์๋กญ๊ฒ ๋์
ํ kappa ๋ถํฌํ์ ์ง์ ์ ๋ชจ๋ ์ง์๊ธฐ๊ฐ๋ณ ์ ํฉ์ฑ ์ฒ๋๊ฐ ๊ธฐ์ค ๋ฒ์ ๋ด์ ์์นํ์๋ค. $Z^{DIST}$ ๊ธฐ์ค์ผ๋ก๋ ๋ ์ง์ญ ๋ชจ๋ kappa์์
๋์ ์ ํฉ๋๋ฅผ ๋ณด์๋ค.
Fig. 2์์๋ ํํ๋์ง ์์์ผ๋ 12๋ฒ ์ง์ญ์์๋ kappa ๋ถํฌ์ ๋งค๊ฐ๋ณ์ ์ถ์ ์ด ๋ถ๊ฐ๋ฅํ ์ง์๊ธฐ๊ฐ์ด ์กด์ฌํ๋ ๊ฒ์ ํ์ธํ์๋ค. ์์ธํ ๋น๊ต๋ฅผ ์ํด Table 1์์ GEV์ kappa ๋ถํฌ์ $Z^{DIST}$๊ฐ์ ์ง์๊ธฐ๊ฐ๋ณ๋ก ๋ํ๋๋ค. 12๋ฒ ์ง์ญ์์ ์ง์๊ธฐ๊ฐ 6์๊ฐ๋ถํฐ 24์๊ฐ๊น์ง kappa ๋ถํฌ์ ๋งค๊ฐ๋ณ์
์ถ์ ์ด ๋ถ๊ฐ๋ฅํ๋ค.
Fig. 2. Goodness-of-fit Measures ($Z^{DIST}$): (a) and (b) Boxplots of $Z^{DIST}$ Values for Regions #12 and #15, Respectively
Table 1. $Z^{DIST}$ between GEV and kappa for Region #12 and #15 by Duration
|
Region
|
Distribution
|
Duration (hr)
|
|
1
|
2
|
3
|
6
|
12
|
24
|
48
|
72
|
|
R12
|
GEV
|
-2.20
|
-0.85
|
-0.88
|
-3.03
|
-5.70
|
-5.15
|
-1.24
|
-1.29
|
|
kappa
|
-0.07
|
-0.02
|
-0.13
|
-
|
-
|
-
|
-0.06
|
-0.08
|
|
R15
|
GEV
|
-0.13
|
-1.32
|
-0.41
|
1.91
|
3.32
|
4.30
|
2.05
|
1.81
|
|
kappa
|
-0.04
|
-0.11
|
-0.12
|
0.08
|
0.15
|
0.09
|
0.03
|
-0.03
|
4.2 L-moment ratio diagram ๋ถ์
12๋ฒ ์ง์ญ์ ๋งค๊ฐ๋ณ์ ์ถ์ ์คํจ ์์ธ์ ๊ท๋ช
ํ๊ณ ์ ์ง์๊ธฐ๊ฐ(1, 12, 24, 72์๊ฐ)์ ๋ฐ๋ผ L-moment ratio diagram์ ๋ถ์ํ์๋ค.
Fig. 3์์ ํ๋ ์ ์ ๊ฐ๋ณ ๊ด์ธก์๋ฅผ, ๋นจ๊ฐ ์ ์ ์ง์ญ ๊ฐ์ค ํ๊ท L-kurtosis์ L-skewness ๊ฐ์ ๋ํ๋ด๋ฉฐ, 5๊ฐ ํ๋ฅ ๋ถํฌํ์ ์ด๋ก ๊ณก์ ์
๋ฒ๋ก์ ๊ฐ์ด ๋์ํ์๋ค.
2.2์ ์์ ์ธ๊ธํ ๋ฐ์ ๊ฐ์ด kappa ๋ถํฌ๋ ๋ํ ์์์ ์ ์์ญ ๋ฒ์ ๋ด์ ๋ฉด(Area)์ผ๋ก ์ ์๋๋๋ฐ, ๊ฒ์ ์ ๊ตต์ ์ค์ ($h = -1$; GLO
curve)๊ณผ ์์ ์ค์ ($h = \infty$) ์ฌ์ด์ ํ์ ์์ญ์ด kappa ๋ถํฌ์ ์ด๋ก ์ ํด๊ฐ ์กด์ฌํ๋ ๊ตฌ๊ฐ์ด๋ค. ๋ถ์ ๊ฒฐ๊ณผ, ๋งค๊ฐ๋ณ์ ์ฐ์ ์ด
๊ฐ๋ฅํ๋ ์ง์๊ธฐ๊ฐ 1์๊ฐ๊ณผ 72์๊ฐ(Fig. 3(a), (d))์ ๊ฐ์ค ํ๊ท ๊ฐ์ด ํ์ ์์ญ ๋ด์ ์์ ์ ์ผ๋ก ์์นํ๋ค. ๋ฐ๋ฉด, ์ถ์ ์ ์คํจํ๋ 12์๊ฐ๊ณผ 24์๊ฐ(Fig. 3(b), (c))์ ๊ฒฝ์ฐ ๊ฐ์ค ํ๊ท ๊ฐ์ด ํ์ฉ ๋ฒ์ฃผ๋ฅผ ๋ฒ์ด๋ GLO ๊ณก์ ($\tau_4 < (5\tau_3^2 + 1)/6$) ์๋จ์ ์์นํ๋ ๊ฒ์ผ๋ก ๋ํ๋ฌ๋ค.
์ด๋ ๊ด์ธก ์๋ฃ๋ก๋ถํฐ ์ฐ์ ๋ ํ๋ณธ L-moment ratio($t_3$, $t_4$)๊ฐ kappa๊ฐ ๊ฐ์ง ์ ์๋ ์ด๋ก ์ ์ํ์ (upper bound)์
์ด๊ณผํ๊ธฐ ๋๋ฌธ์ด๋ค. ๊ฒฐ๊ณผ์ ์ผ๋ก, ์ด๋ก ์ L-moment ratio($\tau_3$, $\tau_4$)์ ํ๋ณธ ๊ฐ($t_3$, $t_4$)์ ์ผ์น์ํค๋
ํด๊ฐ ์ ํจ ์์ญ ๋ด์ ์กด์ฌํ์ง ์์ผ๋ฉฐ ์ํ์ ๋ชจ์์ ๋ฐฉ์งํ๊ธฐ ์ํด ๋ณธ ์ฐ๊ตฌ์์ ํ์ฉ๋ ์๊ณ ๋ฆฌ์ฆ ๋ด๋ถ์์ ๋ฐฐ์ ํ๋๋ก ์ค๊ณ๋์ด ์์ด ๋งค๊ฐ๋ณ์ ์ถ์ ์ด ๋ถ๊ฐ๋ฅํ
๊ฒ์ผ๋ก ๋ถ์๋์๋ค(Hosking and Wallis, 2005; Hosking, 1990).
ํํธ, 15๋ฒ ์ง์ญ์ ๋ํด์๋ ๋์ผํ ์ง์๊ธฐ๊ฐ(1, 12, 24, 72์๊ฐ)์ ๋ํ ๋ถ์์ ์ํํ ๊ฒฐ๊ณผ, ๋๋ถ๋ถ์ ๊ฐ๋ณ ๊ด์ธก์ ๊ฐ๊ณผ ์ง์ญ ๊ฐ์ค ํ๊ท ๊ฐ์ด
kappa ๋ถํฌ์ ์ด๋ก ์ ํด๊ฐ ์กด์ฌํ๋ ์์ญ ๋ด์ ์์นํ์๋ค(Fig. 3(e)-(h)). ์ด์ ๋ฐ๋ผ 15๋ฒ ์ง์ญ์์๋ ๋ชจ๋ ์ง์๊ธฐ๊ฐ์ ๋ํด kappa ๋ถํฌํ์ ๋งค๊ฐ๋ณ์ ์ถ์ ์ด ์์ ์ ์ผ๋ก ๊ฐ๋ฅํจ์ ํ์ธํ์๋ค.
Fig. 3. L-moment Ratio Diagrams for Region #12 and #15 by Duration
4.3 15๋ฒ ์ง์ญ์ kappa ๋ถํฌํ ๊ธฐ๋ฐ์ ํ๋ฅ ๊ฐ์ฐ๋ ์ถ์
์ ํฉ๋ ๊ฒฐ๊ณผ์ ๋ฐ๋ผ kappa ๋ถํฌ ์ ์ฉ ๊ฐ๋ฅ์ผ๋ก ์ ์ ๋ 15๋ฒ ์ง์ญ์ ๋ํ์ฌ, kappa์ ๊ตญ๋ด ์ค๋ฌด์์ ํต์ฉ๋๋ GEV ๋ถํฌ๋ฅผ ์ด์ฉํด ํ๋ฅ ๊ฐ์ฐ๋์
๊ฐ๊ฐ ์ฐ์ ํ๊ณ ์ด๋ฅผ ๋น๊ตํ์ฌ ๋ถ์ํ์๋ค. ์ฐ์ , ๋ ๋ถํฌํ์ ๊ผฌ ๊ฑฐ๋ ํน์ฑ์ ์๊ฐ์ ์ผ๋ก ํ์ธํ๊ธฐ ์ํด ์ง์๊ธฐ๊ฐ 1, 12, 24, 72์๊ฐ ์๋ฃ์
๋ํ Gumbel probability plot์ ์ ์ํ์๋ค.
Gumbel probability plot์ ๊ทน์น๊ฐ ์ด๋ก ์ ๊ธฐ๋ฐํ ํํ ๋ฐฉ์์ผ๋ก, ๋น์ด๊ณผํ๋ฅ ์ Gumbel ๋ถํฌ์ ๋์ ๋ถํฌํจ์๋ก ๋ณํํ์ฌ ํํํ ๊ฒ์ด๋ค.
๋น์ด๊ณผํ๋ฅ 0.9 ์ด์๊ณผ ๊ฐ์ ๋์ ํ๋ฅ ์์ญ์ด ์๋์ ์ผ๋ก ํฌ๊ฒ ํ๋๋์ด ํํ๋๋ฏ๋ก, ๋ถํฌํ์ ๊ผฌ๋ฆฌ ๊ฑฐ๋๊ณผ ๊ทน์น ์์ญ์์์ ์ ํฉ์ฑ์ ์ง์ค์ ์ผ๋ก ํ๊ฐํ๊ณ ์
ํ์ฉํ์๋ค. Fig. 4๋ฅผ ์ดํด๋ณด๋ฉด, ๋์ ํ๋ฅ ์์ญ์์ ๋ ํ๋ฅ ๋ถํฌํ ๊ฐ์ ์ฐจ์ด๊ฐ ๋น๊ต์ ๋๋ ทํ๊ฒ ๋ํ๋ฌ๋ค. ๋์๋ ๋ ๊ด์ธก์์์ ๋ชจ๋ ์ง์๊ธฐ๊ฐ์ ๋ํด ๊ด์ธก๋ ๋ฌด์ฐจ์ ์ฑ์ฅ๊ณ์๋
๋ ํ๋ฅ ๋ถํฌํ์ ์ด๋ก ๊ณก์ ๊ณผ ์ ๋ฐ์ ์ผ๋ก ์ ์ฌํ ๋ถํฌ ๊ฒฝํฅ์ ๋ณด์๋ค. ์ง์๊ธฐ๊ฐ 1์๊ฐ์ ๊ฒฝ์ฐ ๋ ํ๋ฅ ๋ถํฌํ์ ๊ฑฐ๋์ ์ ์ฒด์ ์ผ๋ก ์ผ์นํ๋ ๊ฒ์ผ๋ก ๋ํ๋ฌ๋ค.
๋ฐ๋ฉด, ์ง์๊ธฐ๊ฐ 12์๊ฐ๊ณผ 24์๊ฐ์์๋ ๋น์ด๊ณผํ๋ฅ 0.9 ์ด์์ ์์ญ์์๋ ๋ ํ๋ฅ ๋ถํฌํ ๊ฐ์ ๊ฑฐ๋ ์ฐจ์ด๊ฐ ๋ช
ํํ๊ฒ ๋ํ๋ฌ๋ค. ์ง์๊ธฐ๊ฐ 12์๊ฐ์์๋
๊ด์ธก๋ ๋ฌด์ฐจ์ ์ฑ์ฅ๊ณ์์ ์ฆ๊ฐ ๊ฒฝํฅ์ด ์๋งํด์ง๋ ํน์ฑ์ kappa ๋ถํฌ๊ฐ ์๋์ ์ผ๋ก ๋ ๊ทผ์ ํ๊ฒ ์ฌํํ์๋ค. 24์๊ฐ์ ๊ฒฝ์ฐ ๋น์ด๊ณผํ๋ฅ 0.9 ์ด์
๋ถ๊ทผ์์ ๋ฌด์ฐจ์ ์ฑ์ฅ๊ณ์๊ฐ ์ฆ๊ฐํ๋ ๊ฒฝํฅ์ GEV ๋ถํฌ๊ฐ ์๋์ ์ผ๋ก ์ ์ถ์ ๋๋ ๊ฒ์ผ๋ก ๋ํ๋ฌ๋ค.
Fig. 4. Comparison of Probability Plots of Dimensionless Growth Factors for GEV and kappa Distributions in Station #10141212 and #10144010 (Duration: 1, 12, 24 hr)
์ด๋ฌํ ์๊ฐ์ ์ฐจ์ด๋ฅผ ์ ๋์ ์ผ๋ก ๊ท๋ช
ํ๊ธฐ ์ํด ์ง์๊ธฐ๊ฐ(1, 2, 3, 6, 12, 24, 48, 72์๊ฐ) ๋ฐ ์ฌํ๊ธฐ๊ฐ(50, 100๋
)์ ๋ฐ๋ฅธ
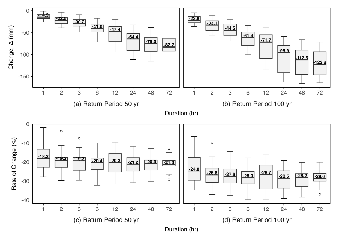
GEV ๋๋น kappa ๋ถํฌํ์ ํ๋ฅ ๊ฐ์ฐ๋ ๋ณํ๋ ($\Delta = Q_{Kappa} - Q_{GEV}$) ๋ฐ ๋ณํ์จ($Rate = \Delta
/ Q_{GEV} \times 100$)์ ์ฐ์ ํ์ฌ Fig. 5์ ๋์ํ์๋ค. ํ๋ฅ ๊ฐ์ฐ๋์ ๋ณํ๋(Fig. 5(a), (b))์์ ์ฌํ๊ธฐ๊ฐ 50๋
์ ๊ฒฝ์ฐ ์ง์๊ธฐ๊ฐ 1์๊ฐ์์ ์ค์๊ฐ์ด -14.9 mm์์ผ๋, 72์๊ฐ์์๋ -82.7 mm๋ก, ์ฌํ๊ธฐ๊ฐ 100๋
์ ๊ฒฝ์ฐ
-22.8 mm์์ -122.8 mm๋ก ๊ทธ ์ฐจ์ด๊ฐ ํฌ๊ฒ ํ๋๋์๋ค. ์ด๋ ๋ชจ๋ ์ง์๊ธฐ๊ฐ๊ณผ ์ฌํ๊ธฐ๊ฐ์์ GEV๊ฐ kappa๋ณด๋ค ํฐ ํ๋ฅ ๊ฐ์ฐ๋์ ์ฐ์ถํ๊ณ
์์์ ์์น์ ์ผ๋ก ๋ณด์ฌ์คฌ๋ค. ํนํ ์ง์๊ธฐ๊ฐ 6์๊ฐ์์ 12์๊ฐ์ผ๋ก ๋์ด๊ฐ ๋ ๊ฐ์ ์ฐจ์ด๊ฐ ์๋์ ์ผ๋ก ์ฆ๊ฐํจ๊ณผ ๋์์, boxplot์ interquartile
range (IQR)์ ํด๋นํ๋ ๋ฐ์ค ๋์ด ๋ํ ๊ธ๊ฒฉํ ํ๋๋๋ ์์์ ๋ณด์์ผ๋ฉฐ, ์ด๋ 12์๊ฐ ์ดํ ๊ด์ธก์ ๊ฐ ๋ถ์ฐ์ ํญ์ด ์ปค์ง๋ ๊ฒ์ผ๋ก ํ๋จ๋์๋ค.
๋ณํ์จ(Fig. 5(c), (d)) ์ญ์ ์ ์ฌํ ๊ฒฝํฅ์ ํ์ธํ์๋ค. ๊ตฌ์ฒด์ ์ผ๋ก ์ฌํ๊ธฐ๊ฐ 50๋
์๋ -18.2 %์์ -21.3 %๋ก, 100๋
์ -24.8 %์์ -28.6
%๋ก ๋ถํฌํ๋ฉฐ ๋๋ ทํ ๊ฐ์ ์ถ์ธ๋ฅผ ๋ํ๋์ผ๋ฉฐ, ๊ฐ์ฅ ํฐ ๊ฐ์ ํญ์ ์ค์๊ฐ์ ํตํด 72์๊ฐ์์ ํ์ธํ์๋ค. ๋ณํ์จ์ ํธ์ฐจ๋ ๋ชจ๋ ์ฌํ๊ธฐ๊ฐ์์ 1์๊ฐ๊ณผ
12์๊ฐ์์ ๊ฐ์ฅ ํฌ๊ฒ ๋ํ๋ฌ์ผ๋ฉฐ, ๋ณํ๋๊ณผ ์ ์ฌํ๊ฒ 6์๊ฐ์์ 12์๊ฐ์ผ๋ก ๋์ด๊ฐ ๋ IQR์ด ์ฆ๊ฐํ๋ ํ์์ด ํ์ธ๋์๋ค.
Fig. 5. Changes in Rainfall Depth (mm) and Percentage Change (%) of kappa Relative to GEV Distribution for Region #15. (a), (b) Change; (c), (d): Rate of Change
15๋ฒ ๋์ง์ง์ญ์์ kappa ๋ถํฌ์ ํ๋ฅ ๊ฐ์ฐ๋์ด GEV ๋ถํฌ ๋์ ์ฝ 20-30 % ๋ฒ์๋ก ๋ฎ๊ฒ ์ฐ์ ๋ ์์ธ์ ๋ ๋ถํฌํ์ ๋งค๊ฐ๋ณ์ ๊ตฌ์กฐ ์ฐจ์ด์
๋ฐ๋ฅธ ๊ทนํ ๊ผฌ๋ฆฌ ๊ฑฐ๋์ ์ฐจ์ด๋ก ํ๋จ๋์๋ค. ๋น์ด๊ณผํ๋ฅ 0.99 ์ด์์ ๊ทนํ ๊ตฌ๊ฐ(Fig. 4)์์ ๊ทนํ๊ฐ ์์ด ์์นํ๋ GEV์ ๋ฌ๋ฆฌ, kappa ๋ถํฌ๋ ํต๊ณ์ ์ํ์ ์ ๋์ด ๊ผฌ๋ฆฌ์ ์์น ํญ์ ํต์ ํจ์ผ๋ก์จ ๊ทนํ๊ฐ์ ๊ณผ๋ ์ถ์ ์ ๋ฐฉ์งํ๋ฉฐ GEV
๋ถํฌ ๋๋น ์๋์ ์ผ๋ก ๋ฎ์ ํ๋ฅ ๊ฐ์ฐ๋์ด ๋์ถ๋ ๊ฒ์ผ๋ก ๋ถ์๋์๋ค.
Fig. 4์์ ๋ํํ๋ ๊ด์ธก์(#10141212, #10144010)๋ฅผ ๋์์ผ๋ก, ์ง์๊ธฐ๊ฐ 1, 12, 24์๊ฐ์ ๋ํด kappa์ GEV ๋ถํฌ๋ก๋ถํฐ ์ฐ์ ๋
ํ๋ฅ ๊ฐ์ฐ๋์ Fig. 6์ ์ ์ํ์๋ค. ์ฌํ๊ธฐ๊ฐ์ ๋ฐ๋ฅธ ํ๋ฅ ๊ฐ์ฐ๋์ ๊ท๋ชจ ๋ฐ ๋ณํ ์์์ ๋์ํจ์ผ๋ก์จ, ๋ถํฌํ์ ์ ํ์ด ๊ฒฐ๊ณผ์ ๋ฏธ์น๋ ์ํฅ์ ๊ด์ธก์๋ณ๋ก ์ง๊ด์ ์ผ๋ก ํ์ธํ์๋ค.
์ผ๋ฐ์ ์ธ ์๋ฌธํ์ ํน์ฑ์ ๋ฐ๋ผ ์ฌํ๊ธฐ๊ฐ์ด ๊ธธ์ด์ง์๋ก ํ๋ฅ ๊ฐ์ฐ๋๋ ์ฆ๊ฐํ์์ผ๋, ํน์ ์ฌํ๊ธฐ๊ฐ์ ๊ธฐ์ ์ผ๋ก ๋ ๋ถํฌํ ๊ฐ์ ์ฐ์ด ๊ด๊ณ๊ฐ ์ ํ๋์๋ค. ๊ด์ธก์
#10141212์ ๊ฒฝ์ฐ, ๋ฎ์ ์ฌํ๊ธฐ๊ฐ(์ง์๊ธฐ๊ฐ 1, 12์๊ฐ์์๋ ์ฌํ๊ธฐ๊ฐ 10๋
; ์ง์๊ธฐ๊ฐ 24์๊ฐ์์๋ ์ฌํ๊ธฐ๊ฐ 5๋
) ์ดํ์์๋ kappa
๋ถํฌ๊ฐ ๋ ํฐ ๊ฐ์ ๋ณด์์ผ๋, ์ดํ ์ฌํ๊ธฐ๊ฐ์ด ์ฆ๊ฐํจ์ ๋ฐ๋ผ GEV ๋ถํฌ๊ฐ ์ด๋ฅผ ์ํํ๋ ์ญ์ ํ์์ด ๋ฐ์ํ์๋ค(Fig. 6(a), (b), (c)). ๊ด์ธก์ #10144010์์๋ ์ฌํ๊ธฐ๊ฐ 5๋
์ ๊ธฐ์ ์ผ๋ก ํ๋ฅ ๋ถํฌํ ๊ฐ ์๊ด๊ด๊ณ๊ฐ ๋ฐ์ ๋๋ ๋์ผํ ๊ฒฝํฅ์ด ๊ด์ฐฐ๋์๋ค(Fig. 6(d), (e), (f)).
Fig. 6. Rainfall Quantile from kappa and GEV Distribution for the 1 hr, 12 hr, and 24 hr in the Stations #10141212 and #10144010
5. ๊ฒฐ ๋ก
๋ณธ ์ฐ๊ตฌ์์๋ ๊ธฐํ๋ณํ๋ก ์ธํ ๊ทน์น ๊ฐ์ฐ ์ฌ์์ ๋ณ๋์ฑ ์ฆ๊ฐ์ ๋์ํ๊ณ ๊ธฐ์กด 3๊ฐ ๋งค๊ฐ๋ณ์์ ํ๋ฅ ๋ถํฌํ์ด ๊ฐ๋ ๊ผฌ๋ฆฌ ๋ถ๋ถ ๋ชจ์์ ํ๊ณ๋ฅผ ๋ณด์ํ๊ณ ์,
4๊ฐ ๋งค๊ฐ๋ณ์์ kappa ๋ถํฌ ๊ธฐ๋ฐ์ผ๋ก ๊ฐ์ฐ ์ง์ญ๋น๋ํด์์ ์ ์ฉ์ฑ์ ํ๊ฐํ์๋ค. ํ์๋ ์ฐ์ ํ์ค์ง์นจ(ME, 2019)์ ๊ธฐ์กด 5๊ฐ ํ๋ณด ๋ถํฌํ ์ ์ฉ ์, ์ ํฉ๋ ํ๋ณด์ ์ด๋ ค์์ด ์์๋ ์ผ๋ถ ๋์ง์ง์ญ์ ๋์์ผ๋ก kappa ๋ถํฌ์ ์ ์ฉ์ฑ์ ํ๊ฐํ๊ณ , ๊ตญ๋ด ์ค๋ฌด ํ์ค์ธ
GEV ๋ถํฌ์์ ํ๋ฅ ๊ฐ์ฐ๋ ์ฐ์ ๊ฒฐ๊ณผ๋ฅผ ๋น๊ต ๋ฐ ๋ถ์ํ์ฌ ๋ค์๊ณผ ๊ฐ์ ๊ฒฐ๋ก ์ ๋์ถํ์๋ค.
1) ๊ธฐ์กด ๋ถํฌํ ์ ์ฉ์ด ์ด๋ ค์ ๋ ์ผ๋ถ ๋์ง์ง์ญ์ ๋ํด ์ ํฉ๋ ๊ฒ์ ์ ์ํํ ๊ฒฐ๊ณผ, 12๋ฒ ์ง์ญ์ ๊ด์ธก ์๋ฃ์ ํน์ฑ์ผ๋ก ์ธํด kappa ๋ถํฌ์ ๋งค๊ฐ๋ณ์
์ถ์ ์ด ๋ถ๊ฐ๋ฅํ์ฌ ์ ์ฉ์ด ์ ํ์ ์ธ ๊ฒ์ผ๋ก ํ์ธ๋์๋ค. ๋ฐ๋ฉด, 15๋ฒ ์ง์ญ์ kappa ๋ถํฌ์ ์ ํฉ๋ ๊ธฐ์ค์ ์ถฉ์กฑํ์ฌ ๊ธฐ์กด 3๊ฐ ๋งค๊ฐ๋ณ์๋ฅผ ๊ฐ๋ ํ๋ฅ ๋ถํฌํ์
ํ๊ณ๋ฅผ ๋ณด์ํ ์ ์๋ ์ ํจํ ๋์์ผ๋ก ํ๊ฐ๋์๋ค. 12๋ฒ ์ง์ญ์ ๊ฒฝ์ฐ, ํฅํ ํผํฉ๋ถํฌํ ๊ธฐ๋ฐ ๋น๋ํด์์ ๋ํ ์ถ๊ฐ ์ฐ๊ตฌ๊ฐ ํ์ํ ๊ฒ์ผ๋ก ํ๋จ๋๋ค.
๋ค๋ง L-moment ration diagram ๋ถ์ ๊ฒฐ๊ณผ, ๊ด์ธก ์๋ฃ์ ์์น๊ฐ GLO ๋ถํฌํ ์ด๋ก ๊ณก์ ์ ๊ฐ์ฅ ๊ทผ์ ํ ๊ฒ์ผ๋ก ๋ํ๋ ์ค๋ฌด์ ์ธ ๋์ฒด
๋ถํฌํ์ผ๋ก๋ GLO ๋ถํฌํ์ ์ ์ฉํ๋ ๊ฒ์ด ์ ์ ํ ๊ฒ์ผ๋ก ํ๋จ๋๋ค.
2) ์ฐ์ต๋์น ์๋ฃ๋ฅผ ๋์์ผ๋ก ๊ผฌ๋ฆฌ ๋ถ๋ถ์ ๊ฑฐ๋์ ๋น๊ตํ ๊ฒฐ๊ณผ, ์ง์๊ธฐ๊ฐ 1์๊ฐ์์๋ ๋ ํ๋ฅ ๋ถํฌํ ๊ฐ์ ์ ์ฌํ ๊ฑฐ๋์ ๋ณด์์ผ๋, ์ง์๊ธฐ๊ฐ์ด ์ฆ๊ฐํ ์๋ก
์ฌํ๊ธฐ๊ฐ 50๋
์ด์์ ๋์ ๋น๋ ์์ญ์์๋ ์ฐจ์ด๊ฐ ๋๋ ทํด์ก๋ค. kappa ๋ถํฌ๋ ๊ด์ธก ์๋ฃ์ ๊ฒฝํฅ์ ์ ์ฐํ๊ฒ ์ถ์ข
ํ๋ฉฐ ์์ ์ ์ธ ๊ณก์ ์ ๋ํ๋๋ค.
3) ์ฐ์ ๋ ํ๋ฅ ๊ฐ์ฐ๋์ ์ ๋์ ์ผ๋ก ๋น๊ตํ ๊ฒฐ๊ณผ, kappa ๋ถํฌ๋ GEV ๋ถํฌ ๋๋น ์ฌํ๊ธฐ๊ฐ 50๋
๋ฐ 100๋
๋น๋์์ ์ฝ 20 %์์ 30 %
๋ฎ๊ฒ ์ฐ์ ๋๋ ๊ฒฝํฅ์ ๋ณด์๋ค. ์์ธ๋ฌ ์ง์๊ธฐ๊ฐ์ด 12์๊ฐ ์ด์์์ ์ง์ ๊ฐ ํ๋ฅ ๊ฐ์ฐ๋์ ๋ณ๋ ํญ(IQR)์ด ํ๋๋๋ ํ์์ด ๊ด์ฐฐ๋์ด ์ฅ๊ธฐ ์ง์๊ธฐ๊ฐ์์
๊ฐ์ฐ์ ๊ณต๊ฐ์ ๋ณ๋์ฑ์ด ์ฆ๋๋จ์ ํ์ธํ ์ ์์๋ค.
๊ฒฐ๋ก ์ ์ผ๋ก ํต๊ณ์ ์ ํฉ๋๊ฐ ๋ ์ฐ์ํ kappa ๋ถํฌ๊ฐ GEV ๋ถํฌ๋ณด๋ค ๋ฎ์ ํ๋ฅ ๊ฐ์ฐ๋์ ์ฐ์ ํ๋ค๋ ๊ฒฐ๊ณผ๋ ํ์ฌ ๊ตญ๋ด ์ค๋ฌด์์ ํต์ฉ๋๋ GEV ๋ถํฌ๊ฐ
์ค๊ณ์๋ฌธ๋์ ์๋์ ์ผ๋ก ๋๊ฒ ์ฐ์ ํ๊ณ ์์์ ์์ฌํ๋ค. ์ด๋ ์๊ณต ๊ตฌ์กฐ๋ฌผ ์ค๊ณ ์ GEV ๋ถํฌ๊ฐ ๋ถํ์ค์ฑ์ ๋ํ ์ฌ์ ๊ณ ๋ฅผ ์ถฉ๋ถํ ํ๋ณดํ๊ณ ์๋ค๋ ๋ฐฉ์ฆ์ด๊ธฐ๋
ํ๋ค. ๋ฐ๋ผ์ ์ ์ฐจ์ ํฉ๋ฆฌ์ฑ์ ํ๋ณดํ๊ธฐ ์ํด์๋ kappa ๋ถํฌ์ ๊ฐ์ ์ ์ฐํ ํ๋ฅ ๋ถํฌํ์ ๋์
ํ๋ ๊ฒ์ด ์ ์ ํ ๊ฒ์ผ๋ก ํ๋จ๋๋ค. ๋ค๋ง, ๋ฐฉ์ฌ ์ฑ๋ฅ
ํ๋ณด์ ์๊ณต๊ตฌ์กฐ๋ฌผ์ ์์ ์ฑ ์ ์ง์ ์ผ๊ด์ฑ ์๋ ์ค๊ณ๊ธฐ์ค ์ ์ฉ์ด๋ผ๋ ๊ณตํ์ ๋ชฉ์ ์ ๊ณ ๋ คํ ๋, ํ์ฌ์ GEV ๋ถํฌ ์ค์ฌ์ ํด์ ์ฒด๊ณ๋ฅผ ์ ์งํ๋ ๊ฒ์ด
์์ ์ ์ธ ์ ํ์ผ๋ก ํ๋จ๋๋ค. ๋ค๋ง, ๋ฏธ๋์ ์ง์์ ์ธ ๊ธฐํ๋ณํ๋ก ์ธํ์ฌ ์ฐ๋ฆฌ๋๋ผ์ ๊ทนํ ๊ฐ์ฐ์ ์ง์ญ์ ๋ณ๋์ฑ์ด ์ปค์ง๊ณ ๋ณํ๋ ๊ฐ์ฐ์ ํต๊ณ์ ํน์ฑ์ด ๊ธฐ์กด๊ณผ
๋งค์ฐ ์์ดํด์ ธ 3๋ณ์ ํ๋ฅ ๋ถํฌํ์ด ์ด๋ก ์ ํฉ๋ฆฌ์ฑ์ ์์ ์ ์๋ค. ์ด๋ฐ ๊ฒฝ์ฐ kappa ๋ถํฌํ์ ๊ธฐ์ค ํ๋ฅ ๋ถํฌํ์ผ๋ก ์ ๊ทน ๋์
ํด์ผ ํ๋ค.
Acknowledgements
This study was supported by Korea Environment Industry & Technology Institute(KEITI)
through Climate Resilient R&D Project for Water-Related Disaster Management, funded
by Korea Ministry of Climate, Energy, Environment(MCEE) (RS-2024-00332378).
This work is financially supported by Korea Ministry of Climate, Energy, Environment(MCEE)
as ใGraduate School specialized in Climate Changeใ.
References
Ahn H., Shin H., Kim S., Heo J.-H. (2014). "Comparison on probability plot correlation
coefficient test considering skewness of sample for the GEV distribution", Journal
of Korea Water Resources Association, Vol. 47, No. 2, pp. 161-170

Asquith W. H. (2024), lmomco; L-moments, censored L-moments, trimmed L-moments, L-comoments,
and many distributions (Version 2.5.1) [R package]

Heo J.-H., Lee Y. S., Nam W. S., Kim K.-D. (2007). "Application of regional rainfall
frequency analysis in South Korea (II): Monte Carlo simulation and determination of
appropriate method", KSCE Journal of Civil and Environmental Engineering Research,
Vol. 27, No. 2B, pp. 113-123

Heo J.-H., Lee Y. S., Shin H., Kim K.-D. (2007). "Application of regional rainfall
frequency analysis in South Korea (I): Rainfall quantile estimation", KSCE Journal
of Civil and Environmental Engineering Research, Vol. 27, No. 2B, pp. 101-111

Hosking J. R. M. (1990). "L-Moments: Analysis and estimation of distributions using
linear combinations of order statistics", Journal of the Royal Statistical Society:
Series B (Methodological), Vol. 52, No. 1, pp. 105-124

Hosking J. R. M. (1994). "The four-parameter kappa distribution", IBM Journal of Research
and Development, Vol. 38, No. 3, pp. 251-258

Hosking J. R. M. (1996), FORTRAN routines for use with the method of L-moments: Version
3

Hosking J. R. M. (2024), Regional Frequency Analysis using L-Moments (Version 3.8)
[R package]

Hosking J. R. M., Wallis J. R. (2005), Regional frequency analysis: An approach based
on L-moments

Kim M. S., Lee J.-H., Moon Y.-L. (2018). "Variation of design flood according to the
temporal resolution and periods of rainfall", Journal of Korea Water Resources Association,
Vol. 51, No. 7, pp. 599-606

Kim S., Heo J.-H., Choi M. (2011). "Derivation of plotting position formula for the
GEV distribution considering the skewness coefficient", Journal of Korea Water Resources
Association, Vol. 44, No. 2, pp. 85-96

Kjeldsen T. R., Ahn H., Prosdocimi I. (2017). "On the use of a four-parameter kappa
distribution in regional frequency analysis", Hydrological Sciences Journal, Vol.
62, No. 9, pp. 1354-1363

Lee H. G. (2008), Derivation of design flood according to estimation of parameters
by Wakeby and kappa distributions using L-moment

Lima C. H. R., Lall U., Troy T., Devineni N. (2016). "A hierarchical Bayesian GEV
model for improving local and regional flood quantile estimates", Journal of Hydrology,
Vol. 541, pp. 816-823

Maeng S.-J., Kim B.-J., Kim H.-S. (2009). "Estimation of design floods using 3 and
4 parameter kappa distributions", Journal of The Korean Society of Agricultural Engineers,
Vol. 51, No. 4, pp. 49-55

Mielke P. W. (1973). "Another three-parameter kappa distribution", Water Resources
Research, Vol. 9, No. 5, pp. 1464-1469

(2019), Guideline of design flood estimation

(2011), Study on improvement and supplementation of probable rainfall maps
