김주훈
(Joo Hun Kim)
1†iD
김동필
(Dong Phil Kim)
2iD
조용수
(Yong Soo Cho)
3iD
-
종신회원 · 교신저자 · 한국건설기술연구원 수자원하천연구본부 연구위원
(Corresponding Author ․ KICT · h-kim@kict.re.kr)
-
종신회원 · 한국건설기술연구원 수자원하천연구본부 연구위원
(KICT · dpkim@kict.re.kr)
-
종신회원 · 충남도립대학교 건설안전방재학과 교수
(CNSU · hydro92@cnsu.ac.kr)
Copyright © 2025 by the Korean Society of Civil Engineers
키워드
위성강수, GSMaP, 북한, 강수특성, 공간분포, 계절변동성
Key words
Satellite precipitation, GSMaP, North Korea, Precipitation characteristics, Spatial distribution, Seasonal variability
1. 서 론
강수는 기온, 증발산, 하천유량, 토양수분 등과 함께 수문순환을 결정짓는 기본요소로서 홍수, 가뭄, 지하수, 저수지 운영 등 모든 수자원 관리의 출발점이다.
정확하고 지속적인 강수 관측을 통해 장마시기 변동, 집중호우 증가, 건기 장기화, 기후변화에 따른 수문 패턴 변화 등의 분석을 수행할 수 있으며,
이는 지역 단위의 기후 적응형 수자원 정책 수립에 필수적이다. 또한 강수량의 시공간 분포를 정밀하게 파악하면 유역 유입량과 홍수위험을 조기 예측할
수 있어 기후변화 대응, 재해예방 수자원 관리의 과학적 기반을 제공할 수 있다.
북한은 한반도 북부에 위치하며, 기후적으로는 중위도 온대 몬순대에 속하지만 남한에 비해 관측기반 수문·기상 자료의 부족이 매우 심각하다. 기상청이나
WMO(World Meteorological Organization)에 등록된 지상관측소 수가 제한적이고, 자료 공개 범위 또한 협소하여 정량적인
강수 분석과 수자원 계획 수립이 제한적이다.
북한은 기후의 계절변동성이 높기 때문에 연간 강수량 440.7-900.8 mm 중 여름(6-8월)에 연강수량의 60-70 % 내외가 집중되고, 특히
7-8월에 49 %가 집중되어 있는 것으로 제시되고 있으며, 관측과 모델분석을 통해 전체적으로 여름 강수량이 감소하는 추세가 일부 보고되고 있으며,
반면 극한일강수량(일최대강수량)은 증가하는 경향을 나타낸다고 제시하고 있다(Kwon et al., 2019). 또한, 북한은 여름에는 동아시아 몬순의 영향을 크게 받으며 폭우(Torrential Rain, TR) 현상은 우기(Rainy Season, RS)에
매우 집중되어 있고, 동아시아 몬순의 연간 변동성이 크고 여름 몬순의 강도와 RS 기간 동안 강우량의 관계로 인해 북한에 가뭄과 홍수가 자주 발생하여
재앙적인 홍수와 농업 실패가 빈번하게 발생하고 있다고 제시하였다(Om et al., 2018). Ryang et al.(2024)는 북한 기후가 여름에는 북쪽으로 이동하는 아열대 고기압으로 습하고 따뜻한 남풍이 흐르고, 겨울에는 시베리아와 몽골의 대륙 저기압이 연구 지역의 춥고
건조한 날씨를 유지하며, 연평균 기온은 9.1°C이고 연평균 강수량은 957 mm로 제시하고 있다.
북한 연구자들(Om et al., 2019; Ryang et al., 2024)은 북한의 관측소를 181개 혹은 184개 관측소 자료를 이용하고 있음을 제시하고 있으나 WMO의 GTS(Global Telecommunication
System)를 통해서 제공하고 있는 관측소 수는 27개로 매우 제한적이며, 관측의 시간해상도도 3-6시간 자료를 제공하고 있다.
강수는 전통적으로 지상 관측소에서 관측되어 왔으나 강우 관측을 위한 강우게이지 기반 기술은 본질적으로 강우 분야에서 큰 공간적 불균일성과 시간적 이용
가능성으로 인해 생태-수문학 연구에서 무시할 수 없는 한계를 가지고 있다. 반면 위성을 통한 강수관측은 넓은 영역을 관측할 수 있어 최근 수십 년
동안 주요 강수량 측정 방법으로 등장하였다(Xu et al., 1999; Tan et al., 2015). 위성강수 자료는 북한을 비롯해 중앙아시아, 아프리카 등과 같이 지상 관측소의 계측자료 확보가 어려운 지역에서 공간적인 연속성을 확보할 수 있을
뿐만 아니라 기상레이더나 우량계의 설치가 어려운 지역에서도 지속적이며 객관적인 강수 관측이 가능하다. 위성강수는 1998년 TRMM 위성강수의 제공에서부터
2014년 GPM 위성에 의해 생산되는 위성강수자료가 20년 이상 일관된 시간·공간 자료를 생산하고 있어 계절별, 연별 강수추세 분석, 기후변화 양상
등을 판단할 수 있는 매우 효율적인 자료이다.
위성강수 활용 연구에서 Kim et al.(2020a)은 위성강수 GPM IMERG, GSMaP, CMORPH의 정확도 비교를 통해 위성강수의 정확도를 평가하였으며, 세 위성강수 모두 과소추정 경향을
보이고 있으나 북한에 적용 가능성을 언급한 바 있다. 또한, 위성강수 활용 수문 분석에서 Kim et al.(2015)는 CMORPH와 GSMaP_ NRT 자료를 갑천 유역을 대상으로 보정 및 검증 후 북한 청천강 상류(동신군) 홍수량을 유출 모의를 수행한 바 있으며,
Kim et al.(2020b)은 2020년 8월 홍수에 대해 위성강수를 이용하여 남한의 3개 관측소 자료와 위성강수의 총강수를 분석한 결과 상관계수 0.996의 높은 상관관계가
있음을 제시하였으나 총강수량은 과소추정되는 것으로 분석하였고, 이 위성강수를 보정하여 북한 홍수량을 추정하는 연구를 수행한 바 있다.
본 연구에서는 위성으로부터 유도된 위성강수 자료를 활용하여 북한 지역 전역에 대하여 위성강수자료를 수집하고, 지상 계측자료와의 정확도 평가 및 계절별
강수 특성 등의 분석을 수행하는 것을 목적으로 하고 있다. 이는 향후 남북 교류시 한반도 전역의 시간·공간별 강수 분포를 연속적으로 제공할 수 있으며,
위성자료 기반의 장기 강수 추세분석을 통해 남북의 기후 위험요인을 공동으로 진단할 수 있는 남북 기후협력 프로그램과 남북이 직접 데이터를 교환하지
않아도 공유하천의 유입량, 홍수량 정보 등을 객관적으로 산정할 수 있는 자료가 될 수 있어 공유하천 유역 수자원 및 안전 관리에 기여할 수 있는 과학적인
근거를 마련하는 것을 연구의 궁극적 목표로 한다.
2. 연구자료 및 방법
2.1 연구자료
1) 위성강수
위성강수자료는 지상관측이 어려운 지역에서 전지구적 규모로 강수량을 추정하기 위해 개발된 자료로 주로 마이크로파, 적외선, 가시광선 센서를 이용하여
대기 중의 물방울, 구름입자 등의 복사신호(radiance)를 감지하고 이를 통해 강수강도를 산출하는 기법으로 생산되는 자료로서 대표적으로 NASA의
GPM IMERG와 JAXA의 GSMaP 등이 있다. GSMaP 위성강수는 마이크로파 복사계와 IR(Infra-Red) 이미저를 통해 지구 표면의
강수량을 생성하는 위성강수이다. GSMaP 자료는 준실시간 자료인 GSMaP_NRT, 이동벡터 칼만필터 기반의 시공간 보간 자료인 GSMaP_MVK,
그리고 GPCC 등 지상자료 보정 기반의 GSMaP_Gauge 등의 자료가 있다. 본 연구에서는 GSMaP_MVK V08 자료를 1999년 1월 -2024년
12월까지 공간 및 시간 해상도 각각 0.10° × 0.10° 및 1시간 자료를 수집하여 지상계측 강우와 비교를 통해 정확도를 평가하고 북한 강수특성
분석에 활용하였다.
2) 지상계측 강우
북한에 대한 위성강수의 정확도 검증을 위해 북한과 인접한 동두천과 파주의 기상청 ASOS(Automated Surface Observing System)
자료에 대하여 시간해상도 1일의 강우량 자료를 수집하였고, 세계기상기구(WMO) 가 구축한 전지구 기상자료 실시간 교환망(GTS)을 통해 북한(North
Korea, WMO Member Code 470)의 27개 관측소 자료를 수집하였다. 수집한 GSMaP 위성강수와 지상계측 자료에 대한 범위는 Table 1과 같다.
Table 1. Overview of the Collected Precipitation Datasets
|
Category
|
Spatial scope
|
Temporal Resolution
|
Period
|
|
GSMaP
|
The entire scope of North Korea
|
1 hr
|
1999-2024
|
|
ASOS
|
Dongducheon
|
1 day
|
1999-2004
|
|
Paju
|
2002-2024
|
|
WMO
|
27 meteorological station in North Korea
|
3-6 hr
|
2008-2024
|
2.2 연구방법
① 위성강수 처리
일본 JAXA에서 제공하는 GSMaP_MVK(1 hr/0.1°)를 1999년 1월 1일부터 2024년 12월 31일까지의 자료를 수집하였다. GSMaP_MVK
자료는 binary 포맷으로 제공되며 GIS 플랫폼의 다양한 환경에서 동일하게 인식할 수 있는 ASCII 포맷으로 변환한 후 관심지역(북한 전체 영역,
중국 일부)에 대한 클리핑 단계와 원시자료에서 제공하고 있는 지리좌표계(WGS84)를 투영좌표계(EPSG5186)로 변환하는 단계를 거쳐 일일누가강수량,
월총강수량 및 연총강수량 자료를 생성한다. 일강우량 자료 생성시 국제 표준시(UTC, Coordinated Universal Time)와 대한민국
표준시(KST, Korea Standard Time)를 고려하여 누가강수량 자료를 생성한다.
② 지상 관측자료 처리
기상청으로부터 한반도 남한의 동두천과 파주의 ASOS 일강우량자료와 WMO의 GTS를 통해 수집 가능한 북한 27개 관측소의 3-6시간 누가강우량
자료를 수집한다. 북한 강우자료의 경우 위성강수 자료와 비교를 위해 시간해상도를 일치시키기 위해 일강우량 자료를 생성한다.
③ 위성강수와 ASOS 자료를 이용한 정확도 평가
Fig. 1. The Flow of Satellite Precipitation Processing
북한에 대한 위성강수 분석을 위해 비교적 정확도가 높은 북한과 인접한 파주와 동두천 자료를 비교하여 위성강수의 정확도 평가를 수행한다.
④ 위성강수를 이용한 북한 강수특성 평가
위성강수를 이용하여 북한의 27개 관측소의 일강수량 상관관계, 강수일수, 극한강수(80 mm/day, 150 mm/day 등) 특성 계절별, 연총강수량에
대한 유역별 특성, 등의 강수특성을 평가한다.
위성강수를 이용한 북한 강수특성 평가를 위한 전체적인 처리 절차를 정리하면 Fig. 1과 같다.
3. 연구결과 및 토의
3.1 위성강수 자료 구축
앞서 언급한 바와 Fig. 1의 처리 절차에 따라 자료를 수집하고 시간조정을 통해 일강수량, 월강수량, 연총강수량 자료를 생산하여 구축하였으며, Fig. 2는 GSMaP_MVK 위성강수자료를 이용하여 1999년부터 2024년까지의 북한 연총강수량 자료를 나타낸 것이다.
3.2 위성강수 정확도 평가
1) GSMaP_MVK와 ASOS 자료 비교
위성강수의 정확도 평가를 위해 GSMaP_MVK자료와 기상청의 동두천과 파주의 ASOS 일강우량 자료와 비교하였다. 비교 결과는 Table 2와 같다.
Fig. 2. Annual Precipitation Distribution Map in North Korea using GSMaP_MVK
Table 2에서 보는바와 같이 연총강수량은 GSMaP_MVK가 ASOS보다 연총강수량이 7-13 % 정도 과소추정되는 것으로 나타났으며, 이는 기존 연구에서
Kim et al.(2020a)은 한반도 남한지역을 대상으로 위성강수 GPM IMERG, GSMaP, CMORPH의 정확도를 분석한 결과 세 개의 강수자료 모두 지상계측 자료와
위성강수자료가 유사한 공간분포를 나타낸다고 제시하고 있으나, 총강우량이 과소하게 추정되는 단점이 있음을 연구결과로 제시한바 있고, Xie et al.(2011)는 열대 및 아열대 지역에서는 과대 산정되고 중간 및 고위도 지역에서는 과소하게 산정되는 것으로 발표한 바 있으며, Sohn et al.(2010)은 CMORPH, PERSIANN, NRL-blended의 세 개의 위성강수 자료에 대하여 520개의 AWS 자료의 공간분포 자료와 비교를 통해 여름철
평균 분포는 명백하게 상당히 과소평가 된다고 언급하고 있는 것과 같은 경향을 나타내는 것으로 판단된다.
Table 2. Collected Data Items
|
Station
|
Average annual precipitation(mm/yr)
|
Average annual number of rainy days
|
Correlation coefficient
|
|
GSMaP_MVK
|
ASOS
|
GSMaP_MVK
|
ASOS
|
|
Dongducheon
|
1242.9
|
1343.9
|
75.6
|
84.1
|
0.735
|
|
Paju
|
1110.8
|
1275.4
|
77.1
|
85.4
|
0.761
|
Fig. 3. Correlation(GSMaP vs. ASOS) of Dongducheon and Paju Station
두 자료간 일강수량에 대한 상관관계는 Fig. 3에 나타낸 바와 같이 0.75 내외의 강한 양의 상관관계를 갖는 것으로 분석되었다. 이는 GSMaP_MVK 위성강수 자료가 지상관측이 제한된 지역에서도
신뢰성 있는 대체 자료로서 활용이 가능함을 의미하지만 실제 수문학적 모델에 적용할 때에는 기울기 보정 등 Bias correction이 필요하다.
2) GSMaP_MVK와 북한 WMO 자료 비교
북한에서의 위성강수 정확도 평가를 위해 GSMaP_MVK자료와 WMO의 GTS를 통해 수집한 북한 27개 관측소의 일강우량 자료와 비교하였다. 북한의
WMO자료는 3-6시간 누가강우량으로 일강우량을 계산하여 상관관계를 분석하였으며 그 결과는 Table 3과 같다.
북한 지역 27개 관측소의 일강수량에 대한 정확도 평가에서 대부분 관측소는 상관계수(CC, Correlation Coefficient)가 0.6-0.7
수준으로 GSMaP_MVK와 WMO 일강수량은 중간에서 높은 양의 상관관계를 가지며, 서해안 남부(개성, 평강, 해주) 지역이 상관도가 높고, 북부/동해안
지역(청진, 선봉, 삼지연 등) 상관도가 낮은 것으로 평가되었으며, 전체적으로 평균 상관계수 0.64로 분석되었다.
또한, 2008년부터 2024년까지의 기간 동안 북한 지역을 대상으로 위성기반 강수량(GSMaP_MVK)과 지상관측 강수량(WMO) 자료를 비교·분석하여
두 자료의 공간적·시간적 강수 특성을 평가하고자 하였다. 북한 지역은 기상관측소의 공간적 밀도가 낮아 장기적인 강수 분석에 한계가 존재하므로, 위성강수
자료를 활용한 보정 및 검증 연구가 필수적이다. 이에 따라 본 연구에서는 Fig. 5와 같이 히트맵을 이용하여, 연도별·관측소별 강수량 분포의 변동성과 두 자료 간의 일관성을 평가하였다. 임계값 설정은 Ho et al.(2025)이 제시한 값을 참고하여 80 mm/day, 150 mm/day, 200 mm/day의 세 가지 임계값을 설정하여 단계별 강수 강도의 분포를 비교하였다.
Fig. 4. Trends in the Number of Days with Precipitation by Amount
분석 결과 2008-2024년 기간 동안 북한 전역의 연강수량은 지역적 편차를 보였으며, 특히 북부 산악지역(강계, 혜산, 풍산 등)에서 높은 강수량이
지속적으로 관측되었다. 반면, 남서부 지역(개성, 해주 등)은 연도별 변동성이 크고, 일부 연도에서는 상대적으로 낮은 강수량을 보였다.
Table 3. Correlation Coefficient (GSMaP vs. WMO) of North Korea
|
Station
|
CC
|
Station
|
CC
|
Station
|
CC
|
Station
|
CC
|
|
Senbong
|
0.38
|
Kimchaek
|
0.54
|
Sinpo
|
0.65
|
Sariwon
|
0.65
|
|
Samjiyon
|
0.51
|
Supung
|
0.64
|
Anju
|
0.70
|
Singye
|
0.70
|
|
Chongnin
|
0.52
|
Changjin
|
0.70
|
Yangdok
|
0.67
|
Yongyon
|
0.65
|
|
Chunggang
|
0.64
|
Sinuiju
|
0.60
|
Wonsan
|
0.63
|
Haeju
|
0.70
|
|
Huesan
|
0.63
|
Kusong
|
0.66
|
Pyongyang
|
0.67
|
Kaesong
|
0.75
|
|
Kanggye
|
0.62
|
Huichon
|
0.67
|
Nampo
|
0.65
|
Pyonggang
|
0.72
|
|
Pungsan
|
0.64
|
Hamhung
|
0.65
|
Changjon
|
0.63
|
mean
|
0.64
|
GSMaP_MVK 자료는 전반적으로 WMO보다 강수량이 과소 추정하는 경향을 보였으나, 두 자료의 공간적 패턴은 대체로 일치하였다. 특히 2010-2012년과
2016-2017년 구간에서는 두 자료 모두에서 강수량이 많은 것으로 관측되어 위성 기반 강수량 추정이 실제 지상관측과 일관된 경향을 잘 반영하고
있어 위성강수 자료의 공간적 신뢰도가 양호한 수준임을 시사한다.
또한, GSMaP_MVK 자료에서 Ho et al.(2025)이 제시한 세 가지 임계값에 대한 분석결과 일강수량 80 mm/day 이상의 발생일은 연평균 약 35.7일이었고, 150 mm/day는 6일, 200
mm/day 이상은 2.6일이었으며 세 가지 임계값 발생의 추세 분석 결과 Fig. 4에서 보는 바와 같이 특별한 경향성이 발견되지 않았다.
3.3 위성강수를 이용한 북한 강수 특성 분석
1) 연강수량 공간 특성
2008-2024년 기간의 GSMaP_MVK 위성강수와 WMO 관측소 자료를 비교한 결과 GSMaP_MVK는 900-1300 mm/yr(평균, 720
mm/yr), WMO 자료는 600-1700 mm/yr(평균 890 mm/yr)이며, 전체적으로 위성강수가 지상계측 자료인 WMO 자료보다 약 20-25
% 정도 과소 추정되는 것으로 분석되었다. 위성기반 강수자료와 지상 WMO 자료의 패턴은 전반적으로 일치하며, 두 자료 모두 전반적으로 연강수량은
남부와 동해안 지역이 다우지역, 신의주 등이 소우지역으로 분석되었다.
2) 계절별 강수특성
2008-2024년 동안 북한의 모든 관측소에서 여름철 강수 집중(60-70 %)이 뚜렷하며, GSMaP_MVK는 WMO에 비해 평균 10-30 %
정도 과소하게 추정되었으나, 계절적 패턴은 전 관측소에서 동일하게 재현되고 있으며, 평양, 사리원, 남포, 신의주, 개성 해주 등에서 상대적으로 위성강수와
지상관측의 정합도가 높았고, 여름철 집중 비율이 65 % 정도로 나타났으며, 두 자료간 연강수량 차이는 10-20 % 정도로 나타났다. 선봉, 원산,
김책 등의 관측소가 있는 동해안, 북부 산악지역은 위성강수가 20-40 % 정도 과소 추정되는 것으로 분석되었다.
3) 유역별 강수특성
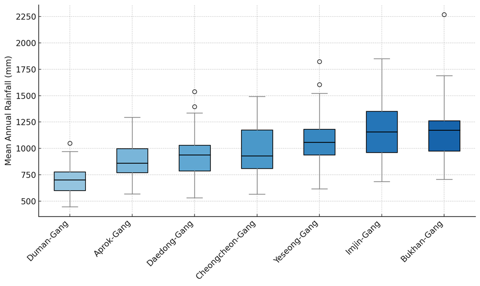
Table 5 및 Fig. 7은 1999년부터 2024년까지의 26년간 위성기반 강수자료(GSMaP_MVK)에서 산출된 연평균 강수량 분포를 주요 하천 유역별로 나타낸 것으로
중앙값 수준은 임진강, 북한강, 예성강, 대동강, 압록강 그리고 두만강 유역의 순으로 위도가 높아질수록 유역 연평균 강수량이 작아지는 것으로 분석되었다.
변동성 측면(IQR, Interquartile Range)에서는 임진강, 청천강, 북한강 순으로 연도별 편차가 큰 불안정형으로 나타났으며, 압록강,
두만강 유역은 상대적으로 안정형으로 분석되었다. 특히, 임진강 유역의 경우 연도별 강수 변동이 커 기후적으로 불안정하고 집중호우 발생 가능성이 매우
높은 유역으로 평가되고 있으며, 두만강의 경우 이상치가 1건(2012년)이 발생하였으나, 26년간의 자료를 분석한 결과 연강수량의 변화가 가장 작은
유역으로 평가되었다.
Fig. 5. Heatmap(GSMaP vs. WMO) of North Korea. (a) GSMaP_MVK, (b) WMO
Table 4. Seasonal Precipitation Characteristics in North Korea
|
Season
|
Avegage precipitatopn (mm)
|
Ratio(%)
|
|
GSMaP_MVK
|
WMO
|
GSMaP_MVK
|
WMO
|
|
Spring(MAM)
|
156.6
|
158.2
|
17.1
|
14.9
|
|
Summer(JJA)
|
540.8
|
652.4
|
59.0
|
61.3
|
|
Autumn(SON)
|
190.9
|
210.1
|
20.8
|
19.7
|
|
Winter(DJF)
|
27.7
|
44.2
|
3.03
|
4.2
|
Fig. 6. Average Annual Precipitation
Fig. 7. Box Plot of the North Korean Basins
Table 5. Boxplot Statistics the North Korean Basins
|
Item
|
Duman-Gang
|
Aprok-Gang
|
Daedong-Gang
|
Cheongcheon-Gang
|
Yeseong-Gang
|
Imjin-Gang
|
Hukhan-Gang
|
|
Q1
|
601.7
|
770.6
|
788.5
|
811
|
938
|
961.6
|
976.4
|
|
Median
|
702
|
860.2
|
938.1
|
928.7
|
1058.2
|
1156.4
|
1173.2
|
|
Q3
|
779.4
|
999.4
|
1029.8
|
1176.5
|
1182.8
|
1353.1
|
1263.2
|
|
IQR
|
177.6
|
228.8
|
241.3
|
365.5
|
244.8
|
391.5
|
286.8
|
|
Lower whisker
|
447.6
|
570.5
|
533.3
|
567.5
|
617.9
|
686.7
|
707.7
|
|
Upper whisker
|
970.1
|
1294.5
|
1336.8
|
1492.3
|
1522.4
|
1850.4
|
1688.9
|
|
Outlier count
|
1
|
0
|
2
|
0
|
2
|
0
|
1
|
5. 결 론
본 연구에서는 일본 JAXA에서 제공하는 GSMaP_MVK 위성강수자료(1999-2024)와 WMO GTS 기반의 북한 27개 관측소자료(2008-2024)를
이용하여 연·계절별 강수 특성을 비교·평가하였다. 위성강수는 지상관측이 제한적인 북한 지역의 기후·수문분석에 활용할 수 있는 효율적인 대체 자료로서,
지상계측과의 정량적 비교를 통해 정확도와 공간적 특성을 분석하였으며, 본 연구를 통해 도출한 결과, 한계점, 향후 개선 방안은 다음과 같다.
(1) GSMaP_MVK와 WMO의 일강수의 상관관계는 평균 0.64로 중간 이상의 양의 상관성을 보이고 있으며, 개성, 해주, 평강 등의 관측소에서는
상관계수가 0.7 이상으로 높았으며, 선봉, 청진 등은 상관계수가 0.4-0.5 수준으로 낮게 나타났다.
(2) 연강수량의 공간분포는 위성강수의 경우 평균 연강수량은 약 720 mm/yr, WMO 자료는 약 890 mm/yr로 분석되었으며 GSMaP_MVK가
평균 약 20-25 % 정도 과소 추정되는 것으로 분석되었다. 과소 추정되는 위성강수에 대한 보정방법으로 선형회귀식을 이용하는 방법과 편향비 보정
방법 등이 있으며, 본 연구에서는 이에 대한 보정은 수행하지 않았다. 위성강수와 WMO의 두 자료 모두 북한의 남부지역인 개성, 해주, 평강과 강원도의
원주가 다우지역으로 분석되었으며, 신의주와 선봉지역 등이 소우지역으로 분석되었다.
(3) 계절별로는 북한의 연강수량 중 여름철에 60-70 %가 집중되며, 봄과 가을은 15-20 %, 겨울은 4 % 내외의 강수량이 있는 것으로 분석되었다.
GSMaP_MVK는 모든 계절에서 WMO 보다 절대값이 낮았으나, 계절적 패턴은 모든 관측소에서 일관되게 재현되고 있음을 확인하였다.
(4) 유역별 분석에서 변동성이 크게 나타나는 유역은 임진강과 청천강 유역이었으며 두만강, 압록강 유역은 상대적으로 안정적인 패턴을 보이는 것으로
분석되었으며, 이는 북한 서쪽에 위치하는 유역의 기후적 불안정성과 집중호우 및 홍수 위험성을 시사한다.
GSMaP_MVK는 북한 전역에서 강수의 공간패턴과 계절적 변동성을 신뢰할 수 있게 재현할 수 있는 자료로 평가된다. 다만 관측 강우량보다 과소하게
추정되는 경향이 있어 이에 대한 보정이 필요하며, 향후 남북 공유하천의 홍수량 추정, 유역 수자원 모델링, 기후변화 영향 평가 등에서 위성강수 자료를
활용할 수 있을 것으로 판단된다.
Acknowledgments
This research was supported by a grant (20250223-001: Research on Establishing a Foundation
for Responding to Current Issues and Challenges in Water Management) of KICT.
References
Ho C. H., Kim H. A., Cha Y., Do H. S., Kim J., Kim J., Park S. K., Yoo H. D. (2025).
"Recent changes in summer rainfall characteristics in Korea", Journal of the European
Meteorological Society, Vol. 2, pp. 100009

Kim J. H., Choi Y. S., Kim D. P. (2020b). "Estimation of flood flow in North Korea
using satellite-based precipitation; A case study of the August 2020 flood event",
Water for Future, Vol. 53, No. 9, pp. 58-66


Kim J. H., Choi Y. S., Kim K. T. (2015). "Flow estimation using rainfalls derived
from multiple satellite images in North Korea", Journal of Korea Association of Geographic
Information Studies, Vol. 18, No. 4, pp. 31-42

Kim J. H., Choi Y. S., Kim K. T. (2020a). "Comparison of Accuracy for GPM IMERG, GSMaP
and CMORPH satellite precipitation products over Korea", Journal of Korea Association
of Geographic Information Studies, Vol. 23, No. 3, pp. 208-219

Kwon M. S., Sung J. H., Ahn J. H. (2019). "Chang in extreme precipitation over North
Korea using multiple climate change scenarios", Water, Vol. 11, No. 2, pp. 270

Om K. C., Ren G., Li S., O K. C. (2018). "Climatological characteristics and long-term
variation of rainy season and torrential rain over DPR Korea", Weather and Climate
Extremes, Vol. 22, pp. 48-58


Ryang C.-H., Kim C., Kil H.-N. (2024). "Characteristics of hail climate distribution
and changing trends over DPR Korea during 1981-2020", Journal of Earth System Science,
Vol. 133, pp. 39

Sohn B. J., Han H. J., Seo E. K. (2010). "Validation of satellite-based high resolution
rainfall products over the Korean Peninsula using data from a dense rain gauge network",
Journal of Applied Meteorology and Climatology, Vol. 49, No. 4, pp. 701-714


Tan M. L., Ibrahim A. L., Duan Z., Cracknell A. P., Chaplot V. (2015). "Evaluation
of six high-resolution satellite and ground-based precipitation products over Malaysia",
Remote Sensing, Vol. 7, pp. 1504-1528


Xie P., Yoo S. H., Joyce R., Yarosh Y. (2011). "Bias- corrected CMORPH: a 13-year
analysis of high-resolution global precipitation"

Xu L., Gao X., Sorooshian S., Arkin P. A., Imam B. (1999). "A microwave infrared threshold
technique to improve the GOES precipitation index", Journal of Applied Meteorology
and Climatology, Vol. 38, pp. 569-579
